七种常见流量计工作原理及应用,仪表人必备知识!
七种常见流量计工作原理及应用,仪表人必备知识!
📌 导读
在化工、石化、电力等行业,流量测量是最基础也是最重要的工艺参数之一。
🔥🔥🔥选对流量计,工艺控制稳如泰山;
💥💥💥选错流量计,故障频发头疼不已。
今天这篇,我把七种最常见流量计的工作原理、特点和应用场景一次性讲透,帮你建立完整的流量计选型知识体系。
一、差压式流量计(应用最广泛,占 70% 市场)
工作原理
差压式流量计由节流装置和差压变送器两部分组成。当流体流经节流件(如孔板)时,流束在孔板处形成局部收缩,流速增加、静压力降低,在孔板前后产生压差。这一压差与流量的平方成正比。

核心公式:
其中:
q = 瞬时流量 P = 节流装置前后的压差
主要特点
✅ 结构简单、维修方便 ✅ 性能稳定、使用可靠 ✅ 标准节流件可不需标定直接生产 ❌ 压损较大(特别是孔板) ❌ 测量范围度较窄
应用场景
气体、蒸汽和液体的流量测量 适用于各种工况条件
二、电磁流量计(导电液体测量首选)
工作原理
基于法拉第电磁感应定律。当导电液体流经测量管时,切割磁力线感应出电动势 E。电动势 E 与磁通量密度 B、测量管内径 d 与平均流速 u 成正比。

核心公式 E = KBdu
其中:
E = 电极间的信号电压(V) K = 系数(常数) B = 磁通密度(T) d = 测量管内径(m) u = 平均流速(m/s)
主要特点
✅ 真正的体积流量计,无需修正 ✅ 测量管内无活动及阻流部件,几乎无压力损失 ✅ 可测量酸、碱、盐等腐蚀性介质和浆液 ❌ 只能测量导电液体 ❌ 需要满足四个假定条件
四个假定条件
磁场是均匀分布的恒定磁场 被测流体的流速轴对称分布 被测液体是非磁性的 被测液体的电导率均匀且各向同性

选型建议
测量导电液体(水、酸碱盐、浆液等)首选 注意管道满管状态 考虑电极材质和衬里材料
三、涡街流量计(气体测量常用)
工作原理
在流体中设置旋涡发生体(阻流体),从旋涡发生体两侧交替地产生有规则的旋涡(卡曼涡街)。旋涡分离频率与管道内的平均流速成正比。

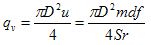
核心公式

其中:
D = 表体通径 d = 旋涡发生体迎面宽度 f = 旋涡发生频率 u1 = 旋涡发生体两侧平均流速 Sr = 斯特劳哈尔数(无量纲参数) u = 被测介质平均速度
主要特点
✅ 输出脉冲频率信号,不受流体物性和组分变化影响 ✅ 结构简单,安装方便 ✅ 适用于气体、液体、蒸汽 ❌ 理论基础和实践经验仍在发展中 ❌ 现场工作条件偏离实验室条件会产生附加误差
管道内体积流量qv为:


其中:
K = 流量计的仪表系数,单位为脉冲数/m3
K除了与旋涡发生体、管道的几何尺寸有关外,还与斯特劳哈尔数有关。斯特劳哈尔数为无量纲参数,它与旋涡发生体形状及雷诺数有关

四、超声波流量计(大管径测量优势)
工作原理
超声波在流动的流体中传播时载上流体流速的信息,通过接收到的超声波检测出流体流速,从而换算成流量。
检测方法
传播速度差法 多普勒法 波束偏移法 噪声法 相关法
主要特点
✅ 非接触式测量,不改变流体流动状态 ✅ 无附加阻力,节能型流量计 ✅ 适用于大管径、大流量测量 ✅ 可测量不易接触和观察的流体 ✅ 造价与管道口径大小无关 ✅ 可测量双相介质(下水道、污水)
应用场景
大管径流量测量(2cm~5m) 发电厂水轮机进水量、汽轮机循环水量 明渠、暗渠、河流流量测量 气体测量
五、文丘里管(低压损差压式流量计)
工作原理
基于伯努利方程和流动连续性方程。流体流经节流件时,在文丘里管喉颈处形成局部收缩,流速增加,静压力降低,产生压差。

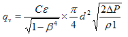
核心公式

其中:
qm = 质量流量(kg/s) qv = 体积流量(m3/s) C = 流出系数 ε = 可膨胀性系数 d = 节流件开孔直径 β = 直径比,β=d/D D = 管道内径 ρ1 = 被测流体密度,kg/m △P = 差压
主要特点
✅ 不存在孔板节流件的锐缘磨蚀与积污问题 ✅ 能对节流前管内流体速度分布进行有效整流 ✅ 高精确度与高稳定性 ✅ 压力损失小 ✅ 适用于低压、大管径、低流速气体流量测量
应用场景
钢铁厂热风炉的助燃风、冷风、煤气计量 热电厂锅炉一次风、二次风测量 大管径、低流速管道测量
六、阿牛巴流量计(节能型差压式流量计)
工作原理
采用皮托管测量原理,测量挡体上游的动压力与下游的静压力之间形成的压差。

主要特点
✅ 准确度高(±1%),稳定性好(±0.1%) ✅ 设计合理,安装方便、经济 ✅ 适用于圆形管道和矩形管道 ✅ 上下游直管段要求低 ✅ 压力损失小(仅占差压的 2%-15%) ✅ 可在线安装或拆卸(不停车) 
与孔板对比
应用场景
气体输送和液体输送 能源研究(蒸汽锅炉热效率、水泵效率等) 过程控制输入输出 化学工业加料 动力工业、化学工业、石油化工、金属冶炼
七、皮托管(经典流速测量方法)
工作原理
测量气流总压和静压以确定气流速度。头部中心处小孔(总压孔)感受来流总压,头部后 3-8D 处的外套管壁上开有静压孔感受来流静压。

主要特点
✅ 结构简单,使用方便 ✅ 有可靠的理论根据 ✅ 用途广泛 ❌ 不适用于超声速流动 ❌ 需要修正系数(ξ=0.98~1.05)
应用场景
飞机空速测量 通风管道、工业管道、炉窑烟道气流速度测量 管道内水流速度测量 流体压力测量
八、流量实际应用技巧
① 流量累积
计算机控制系统通过采样周期(如 500ms)采集瞬时流量,使用积分算法累积流量。
② 小信号切除
当瞬时流量大于设定值时才开始累积,避免设备运行初始阶段的少量流动数据被记录。
③ 累积清零
由于计算机存在溢出问题,需要定期(每天、每周或每月)清零重新累积。
💡 仪表君 实战建议
流量计选型五步法
① 确定测量介质
液体/气体/蒸汽;导电性(电磁流量计要求电导率>5μS/cm);腐蚀性、粘度、是否含固体颗粒
② 确定工况条件
温度、压力范围;流量范围(最大、最小、正常流量);管道管径
③ 确定精度要求
贸易结算:±0.5% 或更高;工艺控制:±1%~±2%;一般监测:±2%~±5%
④ 考虑安装条件
直管段长度;管道振动;防爆要求;防护等级
⑤ 综合性价比
初次投资;运行维护成本;能耗(压力损失)
快速选型参考
差压式(孔板):适用气/液/汽,精度±1%~±2%,压损大,价格低
电磁流量计:适用导电液体,精度±0.5%~±1%,压损小,价格中
涡街流量计:适用气/液/汽,精度±1%~±1.5%,压损中,价格中
超声波流量计:适用气/液,精度±1%~±2%,无压损,价格高
文丘里管:适用气/液/汽,精度±1%~±2%,压损小,价格中
阿牛巴流量计:适用气/液/汽,精度±1%,压损小,价格中
皮托管:适用气体,精度±2%~±5%,压损小,价格低
💡 仪表君 说
流量计选型没有"最好",只有"最合适"。理解每种流量计的工作原理和特点,结合具体工况条件,才能选出最合适的流量计。
希望这篇文章能帮你建立完整的流量计知识体系,在实际工作中做出正确的选型决策!
