可见光-近红外二区单像素显微成像系统,实现生物组织“表面-深层”协同观测 | 中国激光·封面


研究背景

显微成像技术是观测微观世界、研究生物组织结构的关键手段。然而,传统的面阵列探测器(如CCD或CMOS相机)面临着波段局限与成本压力,即硅基探测器在可见光波段表现优异,但在近红外波段响应效率极低;若采用高性能的近红外二区面阵相机,其高昂的造价又使得相关技术难以普及。此外,在单一系统中实现多波段成像通常需要复杂的光路切换,易引入机械误差。单像素成像(SPI)技术凭借单点探测器即可实现二维成像的独特性,不仅显著降低了硬件成本,更利用其极宽的光谱响应特性,为低成本、跨波段的显微探测提供了全新的解决思路。
创新工作
西安电子科技大学研究团队针对深层组织观测需求,设计并搭建了一套基于傅里叶单像素成像(FSI)的主动式双波段显微系统。如图1所示,该系统采用主动投影式的透射显微成像架构,核心在于利用DMD进行空间光编码,通过分束器引导信号光至硅探测器与铟镓砷探测器,实现从可见光到近红外二区的分时复用采集。这种架构避免了昂贵的面阵列相机,大幅简化了光路结构。

图1 可见光-近红外二区双波段单像素显微成像系统光路示意图
为了确保成像的准确性,研究团队首先对核心探测元件进行了性能表征。如图2所示,硅探测器与铟镓砷探测器在各自波段内均表现出良好的线性光电响应,但其响应带宽的限制在高速采样下会引发信号滞后。鉴于此,团队在探测器后端引入了高性能信号放大器。如图3所示,在10000 pattern/s 的高投影速率下,引入放大器前的畸变信号被修正为锐利的“方波”特性。这一优化显著提升了系统对光强变化的瞬态跟随能力,为高速、高质量成像奠定了物理基础。

图2 硅探测器与近红外铟镓砷探测器的光电响应及响应时间表征

图3 10000 pattern/s 高速投影下引入放大器前后的信号与成像质量对比
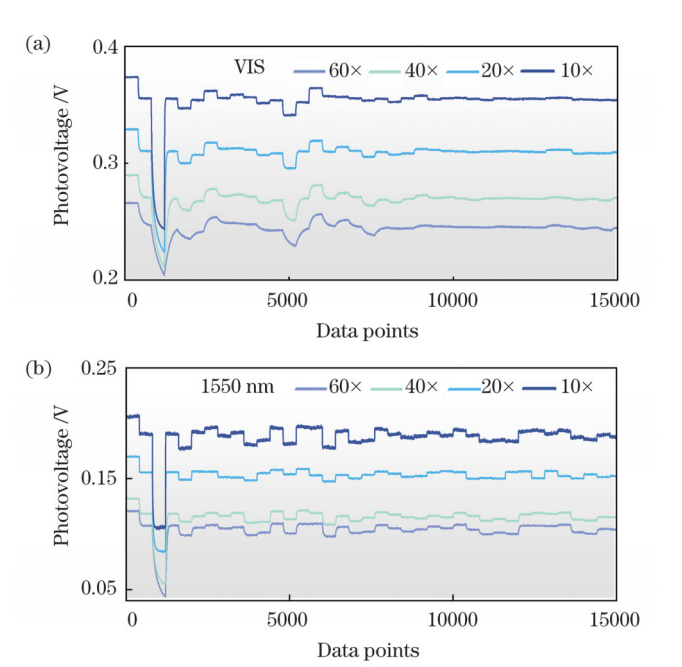
在实际显微应用中,物镜倍率对信号强度的影响至关重要。研究团队定量分析发现,随着物镜倍率增加,系统视场急剧收缩,导致探测器接收到的总光通量显著减弱(如图4所示)。因此,在实际观测中需根据样本特性平衡放大倍率与信号强度。随后,利用标准分辨率测试板对系统进行了量化评估。结果显示,在 60×物镜下,可见光与近红外波段的实测最高分辨率均达到了280 lp/mm,如图5所示,验证了该系统在双波段下均具备出色的解析能力。

图4 不同放大倍率(10×、20×、40×和60×)物镜对应的采集信号强度对比

图5 可见光与近红外波段分辨率板成像结果对比
最后,团队通过典型生物样本验证了系统的多波段成像优势。在百合子房切片实验中(图6),可见光波段凭借高对比度捕捉到了精细的细胞壁边缘,而近红外光则展示了由组织密度差异引起的透射纹理。在蚂蚁标本实验中(图7),近红外光的穿透性优势得到体现:原本在可见光下呈强吸收、暗视觉效果的几丁质外骨骼,在近红外二区模式下变得“透明”,清晰揭示了被外骨骼遮挡的内部关节结构。这种“表面-内部”互补的定量成像能力,充分展示了该系统作为深层组织分析工具的应用潜力。

图6 百合子房切片的双波段显微成像演变过程与定量分析

图7 蚂蚁标本的双波段显微成像过程与定量分析
总结与展望
本研究构建了一套跨越可见光至近红外二区的双波段单像素显微成像系统,通过计算成像方法解决了高性能红外探测器成本高昂的难题。实验证实,系统不仅具备高空间分辨率,更展现了卓越的组织穿透能力。未来,研究团队将进一步结合深度学习算法开发欠采样重构模型,旨在提升成像速度并拓展光谱探测维度,推动该技术在临床医疗、无损检测等领域的广泛应用。
通信作者简介
计钟,西安电子科技大学“华山学者”菁英副教授,副研究员,博士生导师,西电广研院先进医学影像团队师生联合党支部书记。长期从事单像素成像以及单像素探测器技术研究,获得陕西省高层次人才、陕西省高层次创新创业人才等省级人才称号,获批主持国家自然科学基金(面上、青年)等多项国家级项目,主持国家重点研发计划子课题1项,以第一或通讯作者(含共同)发表SCI论文30多篇,总被引次数达2000余次(Google Scholar),H因子27。
刘于金,西安电子科技大学“华山学者”准聘副教授,硕士生导师。长期致力于新型单像素成像探测器研究,在新型半导体光电探测器件设计、光电器件物理、智能光学成像系统和嵌入式AI方面积累了丰富的技术和经验。主持国家自然科学基金青年项目、中国博士后科学基金特别资助项目,入选澳门青年学者计划、陕西省秦创原引进高层次创新创业人才项目。以第一或通讯作者身份在Light Sci Appl、Adv Mater 等期刊发表SCI论文29篇,申请/授权国家发明专利6项。
陈雪利,西安电子科技大学“华山学者”领军教授、博士生导师,生命科学技术学院党委委员,生物医学工程学科方向负责人、先进诊疗技术与装备陕西省高等学校重点实验室、入选国家级科技创新领军人等。主要从事基于光-声-磁的先进诊疗技术与装备及其应用研究,主持国家重点研发计划课题(2项,仪器研发类)、国科金重大科研仪器研制项目课题(结题优秀)、国科金面上项目(3项)、霍英东青年教师基金、国家级/省部级/省级人才项目等16项。以第一或通讯作者发表Sci Adv、Cell Rep Med、Nat Commun 等SCI论文100余篇;授权美国专利2项,中国发明专利17项,转化/许可9项。

END

点在看联系更紧密




