行业动态▏我国核电发展特点及已建(含商运)和在建的核电站分布

我国已成为世界第一核电大国,在运、在建及核准待建核电机组总规模全球第一,核电技术实现从跟跑到领跑的跨越。目前,国家核安全局已颁发62台核电机组运行许可证、39台机组建造许可证,中国在建核电规模占全球一半以上,在运机组总数有望于2026年底达到70台。
我国核电发展呈现三大特点:一是技术自主化,从大亚湾核电站设备国产化率不足1%,到“华龙一号”首堆设备国产化率超90%,实现核心技术自主可控;二是产业规模化,形成全球最完整的核电产业链,具备每年10台以上主设备制造能力,单台机组出口可带动约1000亿元经济效益;三是应用多元化,除发电外,正拓展核能供热、制氢、海水淡化等综合利用,如江苏徐圩项目已启动“三代+四代”双堆耦合供热发电新模式。

截至2025年底,我国在运、在建和核准待建核电机组共有112台,总装机容量1.26亿千瓦,连续第3年居全球首位,装机规模1.25亿千瓦,已成为世界第一核电大国。2025年核电发电量约4800亿千瓦时,占全国总发电量的4.82%(见上图)。2022至2025年中国连续每年核准10台机组,2024年核准11台,41台机组总投资超8000亿元。
我国核电机组分布在东部沿海8个省份25座核电站或核电基地。8个沿海省份自北向南依次是辽宁、山东、江苏、浙江、福建、广东、广西、海南。其中,徐大堡、招远、徐圩、金七门、三澳、陆丰、惠州、廉江、白龙等9个核电站为新建核电站,目前还没有建成投运的核电机组。我国各省份在运在建核电机组及装机容量情况如下图所示。

我国大陆各省份在运在建核电机组情况


截至2026年4月,我国已建(含商运)和在建的核电站分布情况如下:


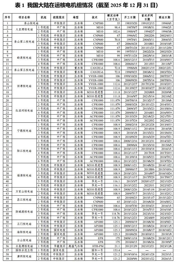
一、已建成并投入商业运行的核电站
(共58台机组)


根据国家核安全局2026年2月底数据,中国大陆已颁发运行许可证的核电机组为62台,但部分机组可能处于调试或短期停堆状态。截至2025年11月,57台处于功率运行状态。主要已商运核电站包括:
辽宁:红沿河核电站(6台)
山东:海阳核电站(2台)、荣成石岛湾核电站(1台,国和一号示范工程)
江苏:田湾核电站(8台)
浙江:秦山核电基地(含一期、二期、三期,共9台)、三门核电站(2台)
福建:宁德核电站(4台)、福清核电站(6台)、漳州核电站(1台,2025年1月商运)
广东:大亚湾核电站(2台)、岭澳核电站(4台)、阳江核电站(6台)、太平岭核电站(2台)、陆丰核电站(部分在建,尚未商运)
广西:防城港核电站(4台)
海南:昌江核电站(2台)
注:以上核电站名称按省份自北向南排列,具体机组数和商运时间详见国家核安全局及中国核能行业协会公开数据。


二、在建核电站
(截至2026年2月,共39台机组持证建设)


根据国家核安全局最新清单,当前在建的主要核电项目包括:
辽宁葫芦岛:徐大堡核电站(1–4号机组)
山东烟台:海阳核电站(3–4号机组)
山东威海:石岛湾核电站扩建一期(1–2号机组)
江苏连云港:田湾核电站(7–8号机组)
江苏连云港:徐圩核电站(1–2号机组)
浙江台州:三门核电站(3–4号机组)、三澳核电站(1–4号机组)
浙江宁波:金七门核电站(1–2号机组)
福建宁德:宁德核电站(5–6号机组)
福建漳州:漳州核电站(2–4号机组)
广东惠州:太平岭核电站(3–4号机组)、陆丰核电站(1–2号)
广东湛江:廉江核电站(1–2号机组)
广东台山:台山核电站二期(2台机组,2025年核准)
广西防城港:防城港核电站三期(2台机组,2025年核准)
海南昌江:昌江核电站(3–4号机组)、昌江小堆示范工程(1台)
注:上述项目均采用华龙一号、国和一号或EPR等三代及以上核电技术,安全性高、国产化率高。


三、近期新增核准项目
(2025年4月)


国务院于2025年4月核准5个新项目,涉及以下5省10台机组:
浙江:三门核电站三期工程
福建:霞浦压水堆1–2号机组
山东:海阳核电站三期工程
广东:台山核电站二期工程
广西:防城港核电站三期工程
注:这些项目将进一步扩大我国在运和在建核电规模,预计到2026年底在运机组将达70台。

1
END
1

相关阅读推荐
溪流笔谈▏我国开始拼命建核电站,释放了什么信号?
热点关注▏海洋核动力成头等大事,中国能否取得突破?
海洋论坛▏核电站温排水监测技术现状与展望
科技动态▏我国布局海上浮动核电站,海水淡化、供电一举两得
聚焦两会▏核、风、光等清洁能源将迎机遇
溪流笔谈▏这款海上核能充电宝冷试成功,可用于哪些海上需求?




公众号
溪流之海洋人生
微信号▏xiliu92899

用专业精神创造价值
用人文关怀引发共鸣
您的关注就是我们前行的动力
投稿邮箱▏2705319347@qq.com



