海洋论坛▏海上跨域集群水下目标协同追踪:关键技术与展望

进入21世纪,世界各国对海洋战略地位的认识不断深化。我国也在党的十八大首次提出建设“海洋强国”的战略目标,二十大报告中也再次强调“加快建设海洋强国”的战略部署。在海洋开发过程中,水下搜救、海洋信息采集、海域安全监测等关键应用领域均需要目标追踪技术作为基本保障,为水下作业提供目标的实时位置、姿态等基础信息,并实现对目标的持续位置接近。然而,受限于复杂恶劣的水下环境,水下目标追踪性能的提升仍存在瓶颈。
近年来,海上跨域集群技术的兴起与发展为水下目标追踪提供全新的解决方案。海上跨域集群指由无人潜器(UUV)、无人艇(USV)、无人机(UAV)等异构无人平台,通过信息交互与智能规划形成的动态协同网络系统。在海洋开发中,无人集群凭借其机动性强、覆盖范围广等优势,可替代人类从事海洋监测等重复性高、危险性大的作业任务。随着人工智能与新一代信息技术的快速发展,海上无人集群的自主化程度将实现进一步演进,大大增强水下作业能力。同时,近年来海上无人集群逐渐从传统的单一水下域发展为包含空、海、潜等多域的跨域协同系统,推动水下目标追踪在覆盖范围、响应效率、测量精度等多方面的进步。因此,持续发展基于海上跨域集群的协同追踪技术,突破水下目标定位精度与追近效率等性能瓶颈,将对我国海洋开发起到至关重要的推动作用。
基于跨域集群的水下目标跟踪技术,在信息层面可大致划分为定位、跟踪、通信、规划等四个功能模块,其中定位、跟踪、规划模块通常按照信息支撑关系顺序执行,通信模块则持续提供传输保障。在本文余下部分中,首先面向水下目标追踪技术,介绍技术发展历史并重点分析演进方向与发展趋势,明确海上跨域集群对水下目标追踪技术的重要性;同时,针对上述发展趋势,聚焦定位、跟踪、通信和规划模块,列举技术发展亟需解决的部分难点与挑战,并进一步梳理国内外研究进展;最后,在研究展望中对于新兴研究思路与典型应用需求进行分析和总结。

一、水下目标追踪网络
水下目标的持续追踪与监测往往依赖以传感器网络为主要成分的海洋观测网,其最早可溯源至20世纪50年代美国的水声监视系统。近年来,随着跨域无人集群、智能信息系统、传感器等技术的进步,水下目标追踪逐渐从传统依赖单一节点的传感设备向动态跨域的网络监测系统发展。
⒈单一节点系统
早期美国SOSUS水下目标监测系统是由一个主节点和大量的水听器组成的单一节点系统,部署于太平洋和大西洋,科研人员通过其探测到鲸鱼的声学信号以分析其迁徙和行为模式。LEO-15是美国于1996年在新泽西州海岸建设完成的海洋观测系统,专注于近海生态目标的长期监测和研究,其布放于水下15米的节点由长约9.6千米的海底光电缆连接。最大工作水深约900米的MARS系统是为美国海洋观测计划(OOI)开展技术攻关和验证的实验系统。MARS系统于2007年在蒙特雷湾建成,包含1个水下主节点和8个端口。单一节点的海洋观测网虽然在早期特定区域提供重要的观测数据,但其空间覆盖范围有限、数据代表性不足等缺点限制了其应用范围。
⒉静态多节点网络
随着世界各国对海洋重视程度的逐渐增加,加拿大分别于2001年和2009年始建名为金星(VENUS)和启用名为海王星观测网络加拿大部分(NEPTUNE Canada)的静态多节点目标监测网络。VENUS包含3个节点,分别位于Saanich海湾80米深处、Georgia海峡170米和287米深处,连接多种传感器和水声设备。NEPTUNE Canada包含6个海底主节点,并由此形成长达800千米的海底环形网,覆盖了离岸300公里范围内不同的水深环境。美国于2016年启动运行的OOI计划是一个面向长期海洋目标监测的静态网络,分为近海观测、区域观测和全球观测等不同覆盖模式,由7个海底主节点和850个数据采集设备构成,具备水下立体目标观测能力。欧洲较为有代表性的是2004年由14个国家共同制定的欧洲海底观测网(ESONET)。该网络分布在大西洋和地中海10个海区,共有15个海底主节点,主干光电缆长约5000千米,可实现从北冰洋到黑海的大范围目标监测。
⒊动态跨域监测网络
动态跨域的海洋监测网络是在静态多节点网络的基础上,基于海上无人集群技术,使用无人潜器、无人艇、无人机等移动平台,将监测网络从单一水下域扩展至“陆-海-空-天”等多域,实现了跨介质动态观测能力(如图1所示)。在美国2002年建立的综合海洋观测系统(IOOS)中,除水下静态网络外,还包含卫星、浮标、水面船等装备,可为近岸环境数据采集提供支持。始建于2007年的IMOS是澳大利亚的一个综合性观测系统,由海上锚系网络、潜器、遥感卫星等异构信息收集设施构成。其中,海上锚系网络用于增强网络的空间覆盖,各类潜器可定期进行水下信息采集,通过整合多源观测平台和数据资源,该系统可提供水下目标的实时态势信息。

图1 海上跨域集群水下目标协同追踪
近年来,随着海上跨域集群技术的迅猛发展,由无人机、无人船和无人潜器组成的跨域无人集群已逐渐成为现代海洋观测的核心组成部分。无人集群通过智能协同作业,能够实现对广阔海域的高效覆盖和动态监测,显著提升了目标追踪的精度和时效性。此外,在极端环境或复杂海域中,无人集群能够自主执行任务,减少人工干预的风险和成本,可为水下目标追踪提供更强的灵活性和适应性。
⒋发展趋势
基于上述水下目标追踪监测系统的发展过程,在海上跨域集群大发展的背景下,水下目标追踪技术的演进方向可大致总结如下。
⑴从单体追踪到集群协同
传统的水下目标追踪主要依赖单一节点系统或单一潜器作为执行机构,但这种方式存在明显的局限性:一方面,单一平台在载荷和能源方面严重受限,导致其感知手段单一、覆盖范围有限,难以避免地形成大量探测盲区;另一方面,即使在目标暴露条件下,以潜器为代表的单一移动平台也难以对目标实现有效的追近、围捕等操作。这种技术瓶颈随着水下信息技术的发展得到突破,多潜器系统和跨域网络等协同模式应运而生,推动水下目标追踪朝着网络化、集群化方向发展。
首先,在感知能力方面,集群协同通过搭载异构传感器,不仅能够获取更丰富的目标信息,还能实现目标观测维度的显著提升。其次,在空间布局上,通过优化多平台间的拓扑结构,可实现定位跟踪精度等追踪性能的进一步提升。同时,集群协同在能耗管理和覆盖范围等方面具有天然优势。例如,多潜器可通过多方联合包围,显著提升目标围捕的成功率。
此外,考虑到水下环境的复杂性和恶劣性,无人平台在作业过程中极易损坏或失效。集群协同可提供更优的环境适应能力和系统冗余能力,确保水下目标追踪任务的持续性和可靠性。
⑵从单一水下域到多域联合
传统单一水下域的目标追踪体系受到海域范围大、潜器分布稀疏以及水介质带来的移动速率慢、机动能力弱等天然劣势的制约,难以在目标出现的第一时间形成有效的追踪力量,导致水下目标追踪长期存在监测范围与响应效率间的矛盾:稀疏分布的潜器在大尺度海域难以快速构建追踪网络,导致目标丢失风险骤增。这一瓶颈推动相关研究从单一水下域向“岸-海-空-天-潜”跨域协同体系演进,通过多域平台的优势互补设计新体制目标追踪模式。
区别于传统“空-海”或“海-陆-空”等不包含水下平台的集群协同模式,涉及水下的跨域网络研究往往聚焦于缓解海水介质的束缚,发挥空气介质中移动平台的优势,形成跨介质追踪网络。例如,在实际水下目标追踪中,通过将机动能力优秀的空中无人机、水面舰艇等统一纳入协同追踪体系,充分发挥水上机动范围广、部署速度快、数据传输稳定等优势,弥补水下平台在时效性和鲁棒性等方面的不足,形成快速响应、互补高效的目标追踪模式。
未来,随着跨域协同技术的不断进步,将逐步构建“岸-海-空-天-潜”跨介质互联的立体协同网络,通过多域联合的信息共享与资源优化配置,实现追踪系统综合效能的进一步提升。
⑶从单源感知到多源融合
近年来,水下目标追踪研究正经历由依赖单一水声测量向多源信息融合的范式转变,传统水声测量虽凭借远距离传播优势长期作为水下信息获取的主要手段,但其物理特性导致的低更新率、弱动态响应等瓶颈难以通过算法和策略优化等方式实现本质突破,尤其在近距离、高动态追踪场景中,系统性能受声速与带宽约束明显。因此,构建多物理场联合感知模式,突破单一模态的性能边界,已成为提升复杂水下环境中目标追踪能力的关键。
凭借跨介质追踪网络的发展,磁探无人机等设备不仅可利用磁学感知有效圈定金属目标的活动区域,且无人机具备快速机动能力,可有效提升目标追踪的响应速率;此外,水下光学在近距离场景能提供高分辨率、高更新频率的图像信息,可缓解水声测量更新频率低导致的信息滞后劣势。因此,基于“声-光-磁”等多种模态数据,通过时空配准与特征级融合,不仅能克服单一水声系统的弱感知限制,更可通过多源数据的融合与冗余,显著提升目标追踪的环境适应性与精度。
多源融合技术的引入,拓宽了水下目标追踪的感知维度,也为突破现有性能瓶颈提供新的思路。随着新型传感器技术和异构融合算法的进一步发展,多源融合技术将推动水下目标追踪向更高精度和更强鲁棒性的方向不断发展。
⑷从近海监测到远海持续追踪
近年来,随着海洋开发逐渐向中、远海深入,水下目标追踪的应用场景正经历从近海向远海的重要转变。传统基于无人集群的水下目标追踪体系高度依赖预先布放的锚节点网络,通过已知位置的固定设备提供定位基准与通信支撑。然而,在远海应用中,首先,复杂海洋环境和水声弱通信特性使得锚节点覆盖半径有限且极易失效,难以支撑远海追踪需求;其次,远海水下网络的布放和维护成本急剧提高,导致全球已知网络部署呈现稀疏特性,远海作业往往面临缺少已知设备的参考受限场景;此外,水下目标的持续追踪还面临持续性、能源供给等多重问题。例如,远海环境复杂多变、目标轨迹预测难度倍增,追踪技术的可靠性和适应性难以保证;在能源供给方面,远海作业难以频繁进行设备维护和能源补充,能源补给与设备耐久性问题凸显,间歇性监测模式无法满足长航时、全天候追踪需求。
为应对上述问题,持续研究面向远海目标追踪的跨域无人集群技术,推动水下目标追踪突破近海限制,将对我国海洋资源开发、环境数据采集、海域安全监测等关键应用提供重要支撑。

二、面临的难点与挑战
随着我国海洋开发的持续深入,面向复杂多变的水下环境,发展海上跨域集群的定位、跟踪、通信与规划等关键技术,夯实目标追踪的作业基础,不仅能够为海域安全监测、水下搜救等重大应用提供技术支撑,更对维护国家海洋权益、保障海上安全具有深远的战略意义。然而,上述技术的研究与性能优化仍面临诸多亟待解决的技术瓶颈与科学难题。
⑴弱测量场景中高精度实时定位难
海上跨域集群定位技术可为各类无人平台提供自身位置的实时估计。在定位问题中,海上跨域无人集群可根据物理介质划分为两个部分:以无人机、无人船为代表的水上集群以及以无人潜器为代表的水下集群。水上集群往往装备全球导航卫星系统(GNSS)模块,可实现自身位置的实时校准。然而,由于海水介质对电磁信号的强衰减效应,GNSS信号在水介质中传播距离极短,导致潜器无法像水上平台一样直接获得位置信息。同时,由于水上设备无法深入水下,使得潜器成为跨域集群在水下目标追踪中唯一的直接执行平台。因此,潜器集群的位置估计成为决定目标追踪效率的关键基础。
然而,由于水下环境错综复杂,潜器集群间测量精度无法保证,测量野值频发;水声通信受到多径、强时变信道等因素的影响,使得潜器间信息传输质量存在较大波动,丢包、时延等现象时常发生;同时,考虑到已部署的锚节点覆盖范围有限,在广泛存在的参考受限场景中,潜器集群定位面临严重的参考信息缺失问题。上述低可靠性的观测条件与不完整的环境先验共同构成水下弱测量场景,使得传统定位方法难以实现持续稳定的高精度位置解算。此外,潜器本体感知的惯性测量中累积误差随时间无限增长,基础的航迹推算结果仅在短时有效后迅速偏离真实情况,导致潜器本体感知的运动信息存在较大偏差。考虑到潜器在能源、载重及硬件尺寸等方面的严格限制,定位过程更受到能耗制约。如何在严苛的水下弱测量环境中提升潜器定位精度,是水下目标追踪面临的重要挑战。
⑵非合作目标跟踪精度与稳定性难以兼顾
在追踪过程中,目标跟踪的核心任务在于为跨域集群系统提供目标的实时位置估计信息。然而,由于被跟踪目标往往具有非合作特性,其运动轨迹与趋势呈现高度的不可预测性;同时,缺乏主动信号反馈使得非合作目标的距离、方位及速度等关键参数的测量精度受到显著限制。更为复杂的是,诸如受惊鱼类等目标,往往会采取高机动策略以规避追踪,其急停转向、速度突变等非规则机动策略会导致测量系统持续产生噪声、野值等不确定性因素,不仅增加了位置估计的技术难度,也对跟踪精度和稳定性提出更高的要求。与潜器定位类似,目标位置作为追踪过程中的重要引导信息,其精度直接决定后续任务规划与部署的可行性与有效性。因此,在水下目标追踪场景下,如何实现高精度、稳定的目标位置估计已成为该领域亟待解决的关键问题。
然而,在实际目标跟踪中,未知的目标运动趋势与状态转移函数导致目标位置预测存在极大不确定性。传统跟踪方法通常采用前两个时刻的位置估计值来近似目标运动状态,并假设目标在相邻时刻的运动具有一致性。然而,由于目标的运动状态往往呈现连续变化特性,传统方法基于过时信息构建的预测模型不可避免地引发严重的时滞效应,导致预测误差持续累积。这在高机动目标跟踪中将变得尤为突出。更严峻的是,跟踪误差又会反向降低上述方法中目标运动状态的近似精度,形成误差相互叠加的恶性循环增长态势,导致目标跟踪性能加速退化。此外,传统方法通常侧重在理论层面提升目标跟踪精度,却未同步考虑严苛环境的影响。然而,水下环境普遍具有快时变性和复杂性,降低算法对环境变化的敏感度并提升鲁棒性变得极为重要。因此,在水下目标跟踪中,如何在兼顾环境适应性的前提下提升估计精度成为亟待解决的技术挑战。
⑶恶劣水声信道跨介质组网稳定性弱
海上跨介质通信是一项跨越“空气-海水”物理介质,实现高效可靠信息交换的前沿技术,需依托创新的信号处理与传输机制,确保信息能够在不同介质间快速、稳定传输。这一过程通常涵盖水介质中信息的采集与传输、海面大规模网络的数据汇集,以及基于卫星通信或干线传输实现的岸海通信,最终完成水下信息向岸站指控中心的无线回传。在上述网络通信架构中,水上电磁波通信技术已相对成熟,使得跨介质组网的技术瓶颈集中于水下信息传输领域。受复杂海洋环境和水介质影响,水声被普遍认为是目前水下最具有大范围应用潜力的水下通信方式。然而,声波在水中传输速度慢,且易受水温、盐度、压力等因素干扰,使得稳定快速的水声通信仍面临诸多挑战。
具体而言,水下声速典型值为1500m/s,相较陆地电磁波传输速度降低了5个数量级,导致声波更易受环境变化影响。声波在海水中的吸收衰减与频率呈指数关系,造成显著能量衰减。同时,信号经海面、海底和海洋生物等物体反射后,产生严重的多径效应,使信号在时频域出现选择性衰落。此外,海洋潮汐、湍流、地震活动及海面波浪等带来的复杂噪声,以及水下生物活动、冰冻裂隙和船舶引擎等引发的脉冲和窄带干扰,进一步恶化了水声信道条件,削弱通信性能。最终,上述因素共同导致水声信道具有明显的“时-空-频”变特性,表现为信道快速时变、多普勒扩展严重和带宽资源受限。其中,快速时变导致通信系统难以实时跟踪变化,极大降低了信号的可恢复能力;收发端相对移动引发的多普勒扩展会加剧信号形变,增加接收难度;带宽资源有限则限制了通信速率的提升。因此,如何提升水声通信的准确性与稳定性,成为增强跨介质组网通信性能的关键挑战。
⑷未知海洋环境下动态协同规划难
在目标追踪任务中,跨域集群需通过动态协同的路径规划实现对目标的持续接近。路径规划技术能够为异构无人平台实时生成精确的航点坐标,引导其持续航行,从而成为高效追踪的关键所在。在跨域场景下,水上设备凭借其快速机动与敏捷响应优势,能够在目标暴露的第一时间迅速锁定其活动范围,为水下潜器的后续追踪提供先验态势引导信息。水下潜器集群受制于分布稀疏、机动迟缓的固有特性,在追踪初期往往需要依赖水上设备的引导,首先汇聚至目标活动区域,进而构建具有空间优势的拓扑结构实施抵近追踪。考虑到跨介质协同导致路径规划具有明显的分阶段特性,如何面向异构跨域集群进行多阶段的合理规划,实现无缝衔接与协同运作,已成为目标追踪中亟待解决的核心问题。
跨介质协同路径规划的主要难点体现在海空界面两侧无人平台动态性能差异引发的挑战。水上设备凭借其出色的机动性,能够在大范围海域内灵活、快速地展开部署,而水下设备则受限于较低的运动速度和有限的续航能力。这种由空气与海水介质引发的本质差异,要求路径规划在兼顾不同设备性能的同时,实现高效协同与资源优化配置。此外,在跨域协同规划中,作为目标追踪直接执行机构的潜器集群,其路径规划的质量直接决定了整体追踪性能。然而,在水下环境中,潜器定位和目标跟踪往往已包含较大误差,模糊的位置信息不仅削弱潜器轨迹规划的有效性,还降低了部署效率和可靠性。与此同时,非合作目标潜在的逃逸倾向易与潜器形成动态博弈态势,导致潜器运动面临“博弈强度由弱变强”和“追踪态势由简入难”的演变趋势,进一步恶化路径规划条件。此外,在未知海域中,协同规划还需兼顾潜器间的通信保持、避碰等基本保障,并具备应对障碍物、鱼群等突发干扰的灵活处理能力。因此,如何在模糊信息的条件下,提升潜器路径规划的有效性,成为跨域集群规划部署面临的又一难题。

三、国内外研究进展
水下目标追踪作为基础性技术一直以来都是海洋相关研究的重点。其中,潜器定位、目标跟踪、通信传输以及路径规划等技术受限于复杂海洋环境,一直是业界难题。本节将针对上述问题的国内外相关研究现状进行总结和分析。
⒈多潜器协同定位
在海上跨域集群中,空中无人机和水面无人船等水上设备可依赖GNSS信号实现实时位置校准,确保自身精准位置信息可为跟踪、规划等任务执行模块提供支撑。然而,由于水下缺少GNSS信号,加之海洋环境复杂多变、水声信道质量低等因素,水下潜器定位精度至今难以突破。通常,潜器可基于惯性测量,使用航迹推测法(DR)估计自身位置。相关文献基于惯性导航系统(INS)和多普勒测速仪(DVL)进行位置估计,是目前应用最为广泛的组合定位方式。然而,由于惯性测量中累积误差的存在,位置估计误差将会无边界增长。因此,潜器定位通常需要通过与锚节点交互获取定位辅助信息,实现精度的提升。文献列举典型的水声定位系统,如长基线、短基线和超短基线等(如图2所示)。通过上述基线类定位系统,潜器可以实现稳定和相对高精度的位置估计。然而,考虑到基线网络的部署和维护成本极高,现有系统部署主要集中在近海区域,其覆盖难以延伸至深、远海范围。同时,现阶段水下网络的布设通常面向特定的应用需求,不同网络间互通性较差,导致潜器即使在网络部署区域执行任务时,由于缺少数据互通接口,也无法获得锚节点的信息支撑。因此,依赖于锚节点的潜器定位方式应用范围受限。

图2 基线定位系统
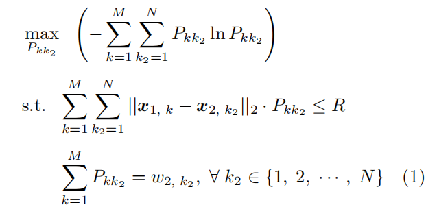
随着水下集群技术的发展,多潜器协同定位逐渐成为趋势。相关文献已经证明,通过潜器之间的信息交互与共享,相比非协同方法可实现定位精度的大幅提升。从数学角度来看,潜器定位属于状态估计问题,在已有研究中,卡尔曼滤波(KF)和置信度传播(BP)是较为常用的理论框架。对于发展较为成熟的KF算法,闫敬等考虑水下异步时钟等因素,分别使用拓展卡尔曼滤波和无迹卡尔曼滤波设计协同定位算法,并对算法有界性和克拉美罗界进行分析。Jiang等在参考受限的无锚场景中,针对潜器集群异步定位问题,设计一种名为“通信时差”的新型相对测量表征方式,提出时空联合协同定位模型,并推导位置的闭式解,从而克服了定位过程中可用信息受限的挑战。相比于KF,BP算法凭借其良好的可拓展性、分布式计算机制以及较低的复杂度等优势,对多潜器协同定位具有更好的适配性。传统基于粒子实现和无迹变换的BP衍生算法已在协同定位领域具有较好的应用。针对多潜器分布式协同定位问题,Li等基于置信度传播提出间歇式定位框架,在节约通信能耗的前提下,降低了定位误差的增长速度。然而,现有方法往往聚焦于位置估计精度的提升,对于水下复杂环境中广泛存在的不确定性考虑不足。为提升算法的环境适应性,主要思路可大致分为两类:自适应算法和鲁棒增强算法。自适应思路通常试图获得不确定性参数的估计,并在算法运行时用于补偿,以提高状态估计的准确性。然而,考虑到恶劣的水下环境,并非所有不确定因素都可通过自适应方法进行建模和估计,且在实际应用中,多种不确定性往往叠加发生,进一步增加了估计难度。因此,鲁棒增强思路在工程应用中则更受青睐,其算法设计注重降低定位精度对于不确定性的敏感程度,从而实现算法性能的稳定。相关文献分别针对环境物理约束、参数不确定性和模型不匹配等设计鲁棒滤波算法,可用于潜器协同定位中。此外,Li等针对惯性测量中累计误差和模型不匹配等问题,基于最大熵原理设计粒子实现的多潜器鲁棒定位方法,有效缓解各类耦合不确定性对于位置预测的误导。假设有粒子集
和
,其中,x1,k代表第1个粒子集中的第k个粒子,下标1和k分别为粒子集和粒子的编号索引;w1,k为粒子x1,k对应的权重;同理,
代表第2个粒子集中的第k2个粒子,下标2和k2分别为粒子集和粒子的编号索引;w2,k2为粒子x2,k2对应的权重;M和N分别为两个粒子集中包含的粒子个数。在此基础上,以第2个粒子集为参考,第1个粒子集所能达到的最大熵分布的核心求解公式建模如下

其中,R代表两个粒子集间可容忍的最大差别;
是两个粒子集的联合分布,通过边缘化即可得到具有最大熵的粒子集
,缓解位置预测结果对于各类耦合不确定性的敏感程度。然而,需要强调的是,鲁棒增强思路虽然降低了不确定干扰对于算法性能的影响程度,但弱化了已知信息的表达能力,导致信息表达更为“模糊”。因此,基于鲁棒增强思路的算法优势在于对于恶劣环境的适应性,而在良好环境中往往难以具备高精度估计能力。
上述文献仍是基于传统惯性测量和水声定位相结合的思路实现潜器定位,然而,水下弱测量场景中极为有限的可获取信息是目前制约精度提升的主要问题之一。缓解上述问题的一个思路是使用复合测量方法。随着硬件能力的不断提升,潜器间的主动测量往往能同时提供相对距离和方位信息。Xin等采用距离和方位的复合测量信息消除了折射伪影的影响,并设计基于等效声速的水下定位系统。Li等对于传统基于测距的潜器定位方式,分别在位置预测和相对测量中融入方位信息,有效缓解惯性测量误差和水声测量长时延导致的位置表征偏差,提升了潜器定位精度。此外,挖掘和引入额外参考信息是解决水下信息短缺难题的一种相对新颖的研究思路。由于海洋中流场无处不在,且随着流场预测技术的提升,大到海洋环流,小到特定海域的已知海流,可依据预测提供高分辨率流场图,这使海流辅助的定位方法在近年来逐渐发展。有关文献通过使用潜器周边的海流测量与已知流图对比来提取位置参考信息,降低潜器定位误差的增长速率。然而,由于海洋流场信息尺度通常与潜器定位存在较大差别,该类方法的实际适用性仍需考证。
考虑到位置信息仍是水下目标追踪的基础,未来研究中可在特定场景中进一步挖掘可用信息,缓解水下因可用信息匮乏导致的精度提升瓶颈。同时,可持续改进鲁棒增强算法,在保证恶劣环境适应性的前提下,提升其在理想环境中的估计精度。
⒉水下非合作目标跟踪
在水下目标跟踪中,受限于水介质与空气介质的固有差异,潜器集群相比于水上无人机、无人船等运动能力弱、覆盖范围窄,加之水声弱感知特性,在发现目标后易发生目标丢失而导致追踪任务失败。然而,潜器作为水下的主要执行机构,可从水上集群获取目标活动区域锁定、跟踪引导和信息辅助等支持,强化水下跟踪能力。现有工作中,丁文俊等考虑近海海域内水下目标跟踪问题,并建立潜器与无人机跨域联合搜索模型,实现了总体覆盖范围的最大化。Zhao等针对水面船和水下潜器的协同编队跟踪问题,考虑位置干扰和参数不确定等因素,设计了鲁棒的协同跟踪方法。近年来,海上跨域集群的协同跟踪研究已逐渐聚焦于“空-海-潜”三域协同。其中,Yan等针对水下目标感知问题,分析了单一平台在探测概率和作业能力等方面的不足,并基于无人机、无人船和无人潜器的协同网络有效提升目标的探测效率,设计使用DDPG的目标跟踪算法。类似地,Wei等进一步面向目标围捕场景,基于深度强化学习设计目标搜索路径与能量分配的优化策略,在有限的系统能耗前提下,有效提升了目标的捕获概率。此外,针对临近海面目标,文献基于声呐和摄像机的多域数据融合,实现目标的三维重建与自主感知,提高了复杂临海区域中目标跟踪与自主决策能力。
然而,在实际跟踪过程中,目标的非合作性始终是跟踪精度提升的难点。在以往的研究中,大多数算法基于已知目标运动模式的假设,如匀速(CV)、恒转角(CT)和匀加速(CA)等模型。例如,Meyer等和Liu等分别基于BP和KF原理设计目标跟踪算法,其中均假设目标的状态转移函数已知。然而,在实际应用中,目标的运动往往不符合这些模型假设,导致理论模型与现实条件之间存在显著的不匹配问题,其在目标高机动逃逸场景中更为严重。此外,即使通过历史位置估计可以对目标的实时运动状态进行近似,持续的时间滞后效应仍会不可避免地在位置预测阶段引入明显偏差。针对上述问题,基于多模型(MM)思想,Blom等提出交互式多模型(IMM)滤波器,其通过多个已知运动模型的并行滤波和加权融合,在处理不确定模型问题方面展现出较强的适应性。Wang等基于IMM思想改进扩展卡尔曼滤波算法,实现了对于移动扩展目标的持续跟踪。Li等针对水下机动目标跟踪中的测量时延问题,进一步基于IMM对扩展卡尔曼和无迹卡尔曼滤波算法进行改进,有效缓解了随机测量时延对跟踪精度的影响。然而,现有的IMM滤波算法所使用的模型集合仍主要由经典模型构成,难以涵盖所有实际情况。考虑到现实场景的动态性和复杂性,广泛存在的模型不确定性仍会限制目标跟踪性能。此外,IMM方法在很大程度上依赖于已知模型,弱化了对于其他信息(如目标的历史运动)的利用。同时,对于非合作目标,不同模型间的转移矩阵通常难以先验获取,这进一步增加了IMM算法的实际应用难度。因此,在弱化模型依赖的同时增强利用其余信息的设计思路,具有进一步提升IMM跟踪性能的潜力。
上述目标跟踪方法中,在水下域部分仍是以水声测量为主要手段。而在跨域集群逐渐追近目标的整个过程中,存在“场景由大到小”、“任务态势由简入难”的典型分阶段特征,在个别阶段内分别适时引入磁学和声学信息,将有效弥补水声测量感知维度单一、动态响应迟滞和更新频率低等缺陷,有效提升目标跟踪性能。在中远程,可通过无人机携带磁探传感器,通过磁异触发信号迅速锁定目标活动区域,并进一步对聚焦范围进行声学精细探测。Wang等设计声磁融合的水下被动监测系统,在60米和60~600米范围内分别使用磁学和声学手段实现了目标跟踪精度的显著提升。进一步地,Zhu等针对水下异构声磁数据,搭建水下声磁特征级融合的深度神经网络,实现深海场景的高精度特征辨识。在近程,由于目标的高机动性以及趋于激烈博弈的双方态势,水声传播速度慢和更新频率低的瓶颈将导致目标信息获取存在显著的时滞偏差。与之相对,光学观测具备高频率更新与细粒度特征提取的优势,但在近距离场景中易受浑浊或波动水体、散射与光照条件等因素影响。为此,面向近距离作业场景,声光融合跟踪能够在两者的互补性中展现独特优势:声学测量提供全局性目标轮廓与深度约束,保证观测的鲁棒性和连续性;光学观测贡献高精度的边缘与纹理细节,实现快速的状态更新。通过声光跨模态特征融合,在时间维度上能够保持稳定连续的信息更新,更在空间维度上实现更精细的特征刻画,从而突破单一声学的测量瓶颈,显著提升目标跟踪的稳定性与精准度。具体地,目前水下声光融合跟踪的工作往往聚焦于声呐图像和可见光图像的融合。例如,有关文献针对水下高度不对齐的声光数据,利用交叉注意机制设计多模态特征匹配网络,并通过差分方式实现了声光融合;文献利用水下摄像机和声呐在感知范围和语义丰富度方面的互补性,实现对水下目标的精准、稳定跟踪。然而,考虑到声光信息在更新频率等方面差异,从机制层面开展声光融合方法研究,实现声光在图像和机制双层面的结合,将对水下目标跟踪精度的进一步提升具有重要意义。从更新频率角度建立的声光融合机制举例如图3所示。针对声学测量更新频率较低的问题,图3提出一种“以光补声”的融合策略:当声学观测数据未更新时,运用光学图像获取帧率较高的优势,通过融合目标在光学成像平面上的帧间位置变化与历史测距数据,实现在声学数据间隔期间持续更新目标距离信息,从而维持对移动目标的高频率位置估计。

图3 声光融合机制
目前,目标的非合作性仍是测量跟踪难题的主要源头,需持续发展基于多源复合测量与多模态融合的目标跟踪技术,整合声、光、磁等异构数据,突破单一水声感知的局限性,实现目标跟踪精度与环境适应性的持续提升。
⒊跨域组网通信
随着跨域集群网络规模和数据共享需求的扩展,跨域组网通信逐渐成为海上无人集群发展的关键技术。跨域组网通信旨在实现不同物理介质、异构网络平台间的可靠信息传输,目前已有众多学者针对大范围高可靠的跨域组网通信、信息资源整合与共享开展研究。海上跨域无人集群中典型的信息交互方式如图4所示,信息流包括海洋信息的共享回传以及指控指令的实时下达。海洋信息首先通过多种传感器实现收集,在水面通过大规模无线组网实现信息的共享与汇聚,并根据实际条件通过不同方式完成信息回传。然而,水下通信作为跨域组网通信中不可或缺的一环,其可靠性与稳定性制约着整体组网通信质量。有关文献描述水下通信组网的研究现状和发展方向,针对水下恶劣环境,需要进一步提升水下通信质量,以保障跨域通信的稳定性。

图4 跨域通信网络
由于跨域组网对大范围覆盖和远距离传输的需求,声学成为水下最为必不可少的通信手段。近年来,Mikhlif等也进一步扩展了水下光学通信技术,有效丰富了水下近距离的通信传输手段,提升该范围内的通信速率。然而,考虑到恶劣的海洋环境,水下信号传输的稳定性和可靠性仍有较大提升空间。近年来,水声调制技术不断发展,为提升水声通信性能提供新的潜力。目前,水下运用最为广泛的调制技术是单载波调制和多载波调制技术,He等和Kida等针对水下单载波通信提出多种频域均衡算法,Tao等和Avrashi等针对水下多载波通信的载波频偏干扰等技术难点提出有效的缓解策略。然而,上述调制技术各自均具有难以突破的性能瓶颈:单载波调制技术容易受多途影响、均衡复杂度高、易受时域干扰;正交频分复用(OF-DM)这一多载波调制技术难以收集多径分集,且具有对载波频偏干扰敏感、峰均功率比高等缺点。上述固有缺陷使得单纯依赖传统调制模式的研究思路限制水声通信性能的进一步提升。因此,持续寻找和发展新型调制技术,成为提升水下通信质量和跨域通信组网稳定性的新思路。
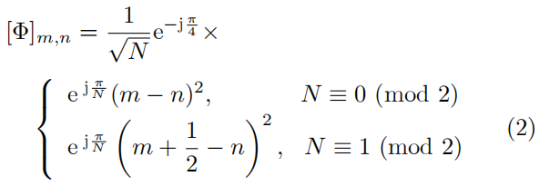
近年来,Ouyang等提出名为正交啾分复用(OCDM)的新型调制技术,其利用一组正交啁啾信号对传输信息进行调制。啁啾信号是一个具有宽带频谱的扫频信号,使得OCDM通常被视为稳健的传输信号。相比目前主流的OFDM多载波调制技术,OCDM凭借啁啾信号的扫频特性,可以更好地应对频域信道衰落和频域突发干扰,在保证信息传输效率的同时提升环境适应性。考虑到水声信道往往伴随严重的衰落现象且极易出现突发的时-频干扰,OCDM通信技术在水声通信中表现出较大潜力。通常,OCDM采用菲涅尔变换进行信号调制,其数学表达式如(2)所示。

Omar等分析OCDM调制方式在不同编码方式、不同信道环境以及不同干扰类型下的性能表现,进一步明确其时频域衰落影响小、抗时频域突发干扰能力强等优势。Wang等和Zhang等分别从时域和频域对OCDM进行信道估计设计,相关文献的时频图如图5所示。相关文献所设计的发送信号,在数据块的前后插入导频信号,实现同一个信号块中同时传输信号和估计信道,插入的导频信号不仅提升对时变信道的跟踪能力,也具备对水下恶劣环境估计的能力,提升了水下信息的传输性能。相关文献从菲涅尔域入手,发送信号和导啁啾信号在同一时间发送,进一步提升对时变信道的跟踪能力,同时该信号也具备对载波频偏的估计能力,提升水下传输性能。Wang等进一步将水下通信特点与OCDM调制技术结合,提出通用的OCDM水下通信接收端信号处理框架。对于接收端OCDM信号,首先进行粗多普勒估计补偿,并将残余多普勒视为载波频偏干扰,进一步降低其影响,最后将信道视为准静态信道,对每个传输块进行估计和均衡。基于对OCDM信号接收解调整个过程的推导计算和算法设计后,可保证带宽利用率的同时,降低信息传输误码率和计算复杂度,增强OCDM在水声通信中的适用性。此外,Ouyang等针对MIMO OCDM展开研究,而Wang等则针对水下载波频偏干扰强的特点,面向MIMO OCDM系统进一步提出载波频偏干扰下的解调方案。

图5 OCDM发送信号时频图
随着海上跨域集群的不断发展,组网和数据规模不断增加,水下信息传输仍需逐步解决环境适应性弱、通信带宽窄等难题。发展如OCDM等新型水声调制技术并持续探索新型跨介质传输模式,将对提升跨域网络传输效率和覆盖范围具有较大助力。
⒋异构集群联合规划
在目标追踪过程中,跨域集群的路径规划方法可联合多域异构平台优势,弥补单一水下域的局限性,在目标搜索、环境监测等应用中发挥重要作用。典型的“空-海-潜”系统中,水面船充当通信中继或作为集群前端控制中心,确保任务的连续性和指控稳定性。然而,跨域集群面临诸如异构平台动态特性差异(如水下低速运动与空中快速响应能力不匹配)、多样性环境约束(从水下湍流到空中障碍物)等挑战,直接影响路径规划的有效性。其中,如何协调各域平台的运动特性与有限资源,同时考虑环境约束等耦合影响成为关键。
现有跨域路径规划研究主要基于传统智能算法进行改进实现性能提升。Wu提出基于粒子群优化的两阶段路径规划模型,通过配置点优化控制变量实现跨介质协同,在减少计算负荷的同时优化任务执行精度。基于上述文献的动力学模型,Wu等进一步开发改进的粒子群算法,采用分布式架构协调“空(UAV)-海(USV)-潜(UUV)”异构系统,有效平衡了水下目标追踪中搜索空间扩展与终端误差缩减的双重需求。丁文俊等进一步深化算法改进,在改进的粒子群算法中嵌入自适应学习因子动态调整机制,结合精英保存策略避免局部最优,显著提升潜器与无人机跨域协同系统的路径规划收敛效率。Zhang等突破单一算法局限,创新融合灰狼优化器与平衡优化器,构建的多域协同路径规划方法通过跨域平台动态轨迹补偿机制,增强了复杂洋流环境下的全局优化能力。
目前,尽管“海-潜”、“空-潜”和“空-海-潜”等跨域规划方式已经取得部分进展,但水下多潜器系统的协同路径规划仍是难点。现有方法通常可分为静态和动态两种规划模式。其中,静态路径规划使潜器沿预定路径移动,其典型代表如基于割草机方法及其扩展等。通常,静态路径规划在计算效率方面具备优势,但由于缺乏实时反馈机制,在应对洋流、移动障碍物等水下不确定性因素时性能受限。为突破静态规划的局限,动态路径规划通过构建“感知-决策-执行”闭环系统实现实时优化,提升路径规划的鲁棒性与实时性。
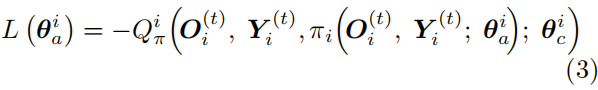
如图6所示,Huang等搭建基于信息熵的潜器动态路径规划框架。每一时刻,在潜器抵达当前航点后,首先执行区域扫描以获取基础环境信息同时将潜器航行区域进行网格化,并基于扫描结果计算当前区域的熵分布;随后通过数据预处理,将其作为路径规划策略网络的输入;最终通过对网络输出进行采样,确定下一时刻的目标航点。进一步地,有关文献将信息熵路径规划理论扩展至多潜器协同网络,基于actor-critic框架制定协同规划方案,通过局部观测与状态共享实现多潜器分布式训练,在降低通信开销的同时将主控潜器的计算任务分散至各潜器中,有效地提高集群规划的鲁棒性,策略网络的典型损失函数如下:

图6 基于信息熵的动态路径规划

其中,
为第i个潜器的actor网络参数;
为第i个潜器的critic网络;
为第i个潜器的critic网络参数;
为第i个潜器的局部观测值,由熵分布经过零填充、求和池化、高斯滤波等数据预处理获得;
为第i个潜器收到已规划路径潜器的目标航点;πi(·)为第i个潜器路径规划的策略(actor)网络。由式(3)可知,每个潜器的策略网络训练、决策只依赖局部观测和少量共享状态信息。Ma等针对水下复杂环境,通过半长轴约束和动态网格密度函数构建参数化模型,结合神经波扩散层协同优化算法与速度矢量空间分解机制,实现了多潜器的三维路径在线校正与障碍规避。此外,针对水下弱通信与潜器有限算力的实际约束,Liu等提出动态多目标协同演进框架,通过集群并行优化实时融合移动障碍物与洋流数据,实现多潜器路径的自主调整。Li等提出一种多潜器协同避障算法,通过优化航向角和分解速度实现路径的实时调整,并结合环境搜索和局部目标引导,有效解决复杂环境中的避障问题,提高了路径规划的安全性和适应性。Li等基于传感器选择原理,将多潜器协同路径规划转化为各潜器每时刻航行位置的协同选择问题(如图7),并通过凸优化建模实现实时快速解算;同时考虑潜器定位和跟踪误差、通信连接保持等实际问题,以此提升算法的实际使用效率。

图7 基于传感器选择的路径规划
现有针对多潜器的协同规划方法往往对于无人平台间的特性差异考虑不足,随着海上跨域集群的不断发展,联合规划方法需进一步考虑“空-海-潜”多域平台在运动、感知等方面的异构特性,实现水下目标追踪在响应速率、覆盖范围、环境适应性等多方面的提升。

四、研究展望
尽管当前水下目标追踪领域已基于无人自主平台涌现出多域联合、集群协同、多源融合等创新发展路径,然而复杂未知的水下环境、水声弱测量特性等固有缺陷以及目标的非合作特性仍导致集群协同的稳定性、目标运动表征的准确度和应对环境变化的鲁棒性不足。本节研究展望共分为两部分:首先,随着新一代信息与人工智能技术的发展,未来研究亟需突破现有技术框架的局限性,因此在下面1、2节讨论目前较为新颖的研究思路,以期为后续研究提供借鉴;同时,考虑到工程落地是水下目标追踪技术发展的主要目标,下面第3节选取海上典型应用场景,探讨海上跨域集群水下目标协同追踪技术的应用潜力。
⒈多功能联合设计
在水下目标追踪任务的实际执行过程中,无人集群自定位、目标跟踪、数据传输与路径规划等基础功能模块相互耦合,某一模块的性能下降便会对其他相关功能造成影响。同时,恶劣环境中各类噪声或干扰往往同时、叠加发生,其影响在各功能模块间传递和积累。此外,随着跨域集群系统规模和功能的拓展,系统内部各模块间资源竞争和目标冲突日益严重,进一步为目标追踪性能的提升和整体优化带来挑战。传统分离式设计思路往往追求各模块自身性能最优而忽视系统整体优化,导致“定位-跟踪-通信-规划”之间缺少互补融合的反馈提升机制。因此,亟需摒弃传统“单问题优化”思路,开展多功能联合设计。
联合设计思想首次被提出,是面向工业网络场景,旨在研究感知、传输与控制三者之间的依赖和制约关系,实现网络系统各环节的优化与协调。近年来,联合设计思路在水下目标追踪中的应用也逐渐显现。以多潜器协同追踪为例,传统思路往往遵循定位、跟踪、规划之间的信息支撑关系顺序执行,通信则在全过程中作为网络协同的传输支撑。这种思路的实施过程中,单个功能模块往往认定其他模块信息基本可靠且假设通信顺畅。然而,恶劣的水下环境中,各类干扰与误差在模块间传递叠加,水声通信的稳定性提升也面临瓶颈。在这种情况下,联合设计思想基于模块间天然的支撑关系,核心思路则是进一步设计反馈提升策略,最终形成不同功能的互馈提升机制(回路)。图8展示了联合设计的基本思路。基于传统信息流向,定位为跟踪提供自身位置估计,定位、跟踪共同为规划提供自身和目标的位置输入,并最终为执行机构提供信息支撑,通信则持续提供数据传输保证。联合设计在此基础上,赋予模块间“逆向”反馈提升的能力。例如,路径规划可在行进间主动优化拓扑,提升定位跟踪精度;规划和跟踪信息亦可为潜器定位提供额外的位置参考,这在信息受限的作业场景中极为宝贵;同时,各个模块需设计适应性传输策略,以提升对水下恶劣信道的鲁棒性,避免产生大规模性能波动。此外,联合设计不再追求单个模块的性能最优,转而聚焦系统整体性能和资源的优化与平衡,并建立模块间的不确定性缓解策略。最终形成“定位-跟踪-通信-规划”各模块间多层级、多回路的互馈提升机制,为目标追踪整体性能的进一步提升奠定基础。

图8 联合设计思路
基于联合设计思路,Li等针对潜器追踪过程中的自定位和目标跟踪问题,在潜器定位提供的参考位置信息对于目标跟踪天然支持基础上,分析并讨论目标位置反馈提升潜器定位的可能性。并基于概率图模型搭建“定位-跟踪”联合设计模型,在近海锚节点覆盖场景中,实现了定位、跟踪性能的共同优化。有关文献额外考虑规划问题,将潜器追踪中的协同路径规划建模为凸优化问题,并将目标位置估计精度作为优化函数实现对于目标跟踪的反馈提升;进一步地,Li等基于联合设计思想,面向水下通信波动较大场景,利用路径规划信息克服通信中断情况下潜器协同定位失效的问题,避免潜器位置精度因信息缺失导致的大幅性能下降,实现了规划模块对于潜器定位的反馈提升。在控制方面,Yang等针对移动目标围捕问题,仅基于相对方位测量构建“定位-跟踪-控制”联合设计框架,设计分布式控制策略,并对闭环稳定性进行理论分析和证明,确保目标追踪过程中协同网络始终满足方位可观测条件,形成协同控制对于位置估计可持续性的反馈提升。
总体来说,联合设计通过构建模块间反馈提升关系,同时考虑系统内部资源竞争、目标冲突以及不确定性累积,最终在系统层面形成各模块的互馈机制。然而,目前联合设计多面向机制层面,未来研究可进一步深入机理层面,并融入跨域异构集群的特征差异,进一步实现水下目标追踪性能的整体增强。
⒉人工智能与多元解决思路
近年来,人工智能技术的蓬勃发展为水下目标追踪提供了新颖、多元的解决思路,打破了传统解决方案的局限性。面向水下复杂的动态环境以及传统单一水声感知的瓶颈限制,本节以大模型等新兴人工智能方法为例,对其在环境适应性、多模态数据融合等方面的应用进行举例;同时,考虑到水下数据采集难度大的客观条件,进一步以对抗网络为例探讨解决思路。
⑴复杂环境下基于大模型的自适应决策
在海洋环境中,受动态变化和通信延迟等复杂因素影响,要求追踪方法具备更强的环境适应能力。目前,鲁棒增强类方法通过降低对不确定性的敏感程度达到提升适应性的目的。然而,其在相对理想环境中精度受限,难以满足高精度精细作业需求。为此,智能增强的动态融合策略逐渐获得关注,该方法基于大模型的学习与推理能力,可实现执行策略的智能切换。在环境较好时,采用大模型开展不确定性建模,提高估计精度;在有效建模难以持续条件下,自动切换至鲁棒增强模式,从而保持较高的环境适应性。
⑵基于注意力机制的多模态数据融合
传统水声追踪技术受恶劣水下环境制约,性能提升面临瓶颈。在特定场景中,声光融合等多模信息融合技术可有效降低目标信息获取对水声的依赖,为突破测量精度瓶颈提供可能。目前,已有的声光融合方法主要采用“远声近光”的融合模式。然而,在近距离场景下,基于声学与光学的复合测量信息,通过深度学习框架下的跨模态注意力机制、低秩分解等手段,可实现声光信息的特征对齐与权重的自适应调整,形成近距离声光融合的目标追踪技术,通过光学高频率更新等优势弥补传统水声测量时滞性高等固有劣势,提高目标追踪的稳定性和精准度。
⑶基于对抗网络的数据集扩充
目前,多数人工智能相关方法的应用依赖于大量数据作为支撑。然而,涉海数据特别是水下数据采集难度高,多源采集数据需进行时空对齐且依赖专家知识进行人工标注,导致数据量有限、数据质量参差不齐。针对这一问题,部分研究采用小样本思路降低了智能方法对海量数据的依赖,但也限制了精度的进一步提升。因此,扩充数据集以实现更复杂的学习类算法的训练与部署,是提升目标追踪能力的直接途径。近年来,生成式对抗网络凭借其对数据集合分布的学习能力,逐渐被广泛应用于数据扩充。该网络基于生成器与判别器的对抗博弈框架,通过最小化生成数据与真实数据分布的差异,优化判别器的区分能力,使生成数据逐步逼近真实数据分布,从而实现高质量数据扩充,有效缓解当前涉海数据紧缺的难题。
⒊工程应用落地
涉海领域的技术研究往往源于实际工程需求,而研究成果的实际价值也需通过具体场景下的应用落地得以验证与扩展。随着海上跨域集群作业能力的逐步提升,其水下目标追踪能力已逐渐在多种场景实现验证和应用。本节针对海上应急救援、海域安全监测、海底测绘等关键场景,选取典型应用案例,围绕协同组网、融合感知等功能要素,探讨跨域集群水下目标追踪技术对不同任务的适配能力和应用潜力。
⑴海上应急救援
传统的海上应急救援主要依赖人力、巡逻艇和直升机,受限于海洋环境的复杂性和救援资源的分散性,在实际应用中往往难以迅速覆盖大面积海域或应对突发状况。2014年MH370航班搜救事件是近年来一次典型的利用异构平台开展的海上联合搜救行动,动用空基、天基、水面、水下等多类型装备参与搜救。然而,尽管装备种类繁多,但受限于海洋装备成熟度等因素,搜救过程缺乏统一的指挥调度机制且协同模式松散,使得整个搜救系统跨域协同能力不足、信息共享不充分、平台间资源整合效率低下,最终导致搜救任务未能取得预期效果。这一事件凸显了异构平台跨域协同技术在海上应急救援任务中的重要性,也为跨域集群技术的发展提供了深刻的经验教训。2023年9月,交通运输部和天津市人民政府联合开展“2023年国家海上溢油应急专项演练”,共有31艘船艇、2架直升机、2架无人机以及若干无人遥控潜器参与。此次演练充分体现了跨域集群协同在应急响应中的核心作用,通过整合陆基、海基、空基和天基等多域资源,跨域集群实现了高效的任务分配与协同作业。其中,水下潜器、无人机等装备在事发水域协同开展多维态势感知,为指挥决策提供实时数据支持。这种基于跨域集群的应急模式,不仅突破传统单一平台的能力限制,还通过多域联合实现信息共享、任务衔接和资源整合,为复杂海洋场景下目标追踪技术的实践提供了重要参考。
⑵海域安全监测
海域安全监测技术是预防和应对非法活动、环境灾害等威胁,保障海上交通、资源开发和生态环境安全的重要手段。多年来,随着世界各国对海域安全的重视,海洋观测网得到迅猛的发展。同时,随着海上无人系统技术的不断进步,无人机、无人艇、无人潜器等平台组成的跨域集群,可实现多维度覆盖与跨域协同,高效完成大范围、高精度的海域监测任务,为海域安全监测注入了新的活力。同时,无人集群具有更高的灵活性与适应性,能够自主完成目标检测与追踪任务。2018年,中国科学院沈阳自动化研究所在大连开展国内首次空海一体化立体协同观测联合试验。该试验联合无人直升机、无人船、无人潜器和水下滑翔机等跨域无人设备,并在指挥中心的实时监控和统一指挥下,实现跨域集群的组网通信、水面/水下目标追踪、近岸海洋数据采集等任务,显著提升了海洋观测的综合效能。2020年,欧洲15个国家共同启动欧洲海上感知开放式合作(OCEAN2020)项目。该项目在舰队编队中整合大量无人潜艇、无人机、无人船,可为指控中心提供全方位的海域安全态势图。未来,随着与人工智能技术的深度融合,无人集群的自主决策能力和协同效率将进一步提升,为海域安全监测与水下目标追踪提供更加精准、实时的数据支持。
⑶海底测绘
近年来,我国海底测绘技术取得显著进展,为海洋划界、海底资源开发、环境保护等关键应用提供支撑。2020年,我国自主研发的“海斗一号”首次运用全海深高精度声学定位技术,结合多传感器信息融合手段,对“挑战者深渊”的最深区域展开全面的巡航探测与高精度深度测量。2021年10月10日,“海斗一号”在马里亚纳海沟深渊的科学考察中取得世界级成果,首次在国际上完成对“挑战者深渊”西部凹陷区的大范围、全覆盖声学巡航探测,填补了国际深海测绘领域的空白。此外,我国在南海、东海等海域开展大规模海底地形测绘,为海洋经济发展和生态保护提供了精准的基础数据。在海底测绘中,潜器作为核心装备,搭载多类传感器,承担着海底特征目标的数据采集任务。然而,传统海底测绘方法主要依赖单台潜器作业,仍面临诸多技术瓶颈。例如,单潜器的覆盖范围有限,难以满足大范围海域的高效测绘需求;声呐技术在水下复杂环境中易受噪声干扰,导致数据精度和分辨率不足;光学探测手段虽能提供高分辨率图像,但其探测范围有限且受水体浑浊度影响较大,难以在深海或浑浊水域中发挥优势。因此,潜器集群协同作业模式与声光融合探测技术成为未来海底测绘的重要发展方向之一。例如,在海底地形测绘中,多潜器系统可同时对不同区域并行探测,快速获取高精度地形数据;声光融合技术则结合成像声呐的大范围探测能力与光学相机的高分辨率细节信息,弥补水下单一声学性能不足,实现海底地形与目标特征的多维度提取与融合。

五、结束语
海上跨域集群在自主化、智能化等方面的不断进步,必将促进水下移动目标追踪性能的提升,持续推进我国海洋开发进程。本文面向水下移动追踪问题,重点分析当前技术发展趋势与面临的重难点瓶颈,并针对跨域集群追踪中定位、跟踪、通信、规划等关键技术详细总结了国内外研究进展。最后,在研究展望中对目前较为新颖的研究理念和工程落地需求进行举例和探讨。
1
END
1
【作者简介】文/李一辰 关新平 黄沛烁 王布依祎 杨紫雯 于文彬,分别来自上海交通大学自动化与感知学院、海底科学与划界全国重点实验室、系统控制与信息处理教育部重点实验室。本文受基金项目赞助,国家自然科学基金(62203299,62373246);上海交通大学深蓝计划(SL2023MS007);深海载人装备全国重点实验室基金(2024SKLDMV04)。文章来自《自动化学报》(2026年第1期),用于学习与交流,参考文献略,版权归作者及出版社共同拥有,转载也请备注由“溪流之海洋人生”微信公众平台编辑与整理。

相关阅读推荐
院士论坛▏邱志明:海上无人系统跨域协同运用与技术发展
海洋论坛▏国外海洋自主无人系统跨域协同实践研究
海洋论坛▏海上无人集群发展及技术体系研究
院士视点▏邱志明:分布式海上作战优势何在
海洋论坛▏水下无人集群协同态势感知技术要点初探
海洋技术▏柴洪洲等:水下UUVs集群协同定位技术发展现状及趋势




公众号
溪流之海洋人生
微信号▏xiliu92899

用专业精神创造价值
用人文关怀引发共鸣
您的关注就是我们前行的动力
投稿邮箱▏2705319347@qq.com



