海洋论坛▏高金耀等:“嘉庚”号船载地磁三分量数据采集、处理和分析

为减小船磁影响,传统的海洋地磁总场测量一般要将海洋磁力仪拖曳于三倍船长之外,而在近海经济活跃区、岛礁浅水区、高纬寒冷浮冰区及各种政治外交敏感水域无法实施。采用船载地磁三分量测量系统(STCM),则能与船载海洋重力仪一起组成全球无限制的船载海洋重、磁测量系统,更有效地打破海域限制并提高测量效率。
早在20世纪初,德国就在南极周边海域开展地磁场水平分量测量,后于1958年在北极海域,通过双罗经法实施了地磁分量测量,并在红海、斯瓦尔巴特岛近海等海域考察中完善为STCM。21世纪初,阿尔弗雷德·魏格纳极地与海洋研究中心(AWI)在极星号(R/V Polarstern)破冰船上将STCM与惯导姿态测量结合,开展较为完善的船磁标定试验,多次在弗拉姆海峡采集地磁三分量数据,数据误差控制在±20 nT以内。
1972—1977年期间,日本东京大学海洋研究所开始试验STCM,不仅可以测量地磁总场,还能进行垂向分量和磁偏角的测量;1979年,Isezaki等对其进行了改进,实现了地磁场三分量数据的采集,形成了STCM测量技术方法,成为日本海洋地球物理调查的常规手段,其测量精度可达50±25 nT,能够满足海底构造研究的要求。从2003年起,日本海洋研究开发机构(JAMSTEC)已经在印太地区累积了108个航次的STCM测线数据资料。
2001年起,韩国海洋研究院(KORDI)也开始试验STCM,在菲律宾海南部得到成功应用。2015年,韩国极地研究所利用Araon破冰船在澳大利亚-南极洋中脊最东端同步采集STCM数据和拖曳SeaSpy磁力仪数据,经过滤波和“8”字形船磁标定校准后,STCM相对拖曳测量的系统偏差和线性漂移可以得到很好的消除。
国内方面,1993年中国科学院南海海洋研究所与日本合作,采用日本东京大学的STCM,在南海北部采集了约2500km的地磁三分量数据,并应用于南海北部海盆构造的磁性特征研究。2011年起,自然资源部第二海洋研究所开始试验STCM,于2013年初普利兹湾海域的29次南极科考中,在“雪龙”号破冰船上同步采集STCM数据和拖曳G-880磁力仪数据,尽管校准处理后STCM总场交点均方根差为±35.54 nT,与拖曳总场的偏差达到±47.56 nT,但是两者异常形态具有一致性,都能够反映海底的磁性结构。2022年初南极半岛海域的第38次南极科考中,自然资源部第二海洋研究所在“雪龙2”号破冰船上采集STCM数据,合成总场的交点均方根差低达±7.11 nT,可惜由于无法进行拖曳测量,难以评估数据外符合精度。
相较于拖曳磁力测量,STCM测量误差来源和校准处理更复杂。为了提高STCM测量精度,更多的国内外学者开展校正和处理算法的研究,早期主要借鉴航磁补偿的Tolles-Lawson模型,将载体干扰磁场分为感应磁场、固定磁场和涡流磁场,进行三分量的补偿解算,并提出基于线性回归的Tolles-Lawson模型求解方法。之后,随着模型参数求解方法优化,磁补偿的可靠性得到提高,又提出各种改进的最小二乘法。为寻找更准确的载体磁场模型,部分学者还提出了基于多传感器的空间差分测量方法。
机器学习和深度学习方法的兴起为更准确而复杂的载体磁场模型的解算创造了条件。例如,考虑载体干扰场(包括固定场、感应场和涡流场)、传感器内部误差(包括非正交度、灵敏度和零偏)和安装误差(与载体坐标系三轴偏差)的综合误差模型,可以采用差分进化算法、粒子群算法、遗传算法和布谷鸟搜索算法等估算模型参数,其中布谷鸟搜索算法显示出较高的寻优效率。
然而,随着模型和算法的改进,数据本身的一些问题对解算精度的影响开始显现,针对这一问题,潘惠坤等采用M估计补充策略下的船磁补偿算法消除跳点或误差偏大采样点的影响。事实上,无论采用什么样的模型和算法,最关键的是磁通门传感器与姿态传感器的时、空一致性,如果它们之间的时、空失准误差也能在模型考虑之内,则也能作为模型参数来解算。但是,这种失准误差的不规则性,以及其他不规则高频电磁干扰,使其无法一并通过模型求解,而对船磁补偿的影响又不容忽略。为此,本研究利用“嘉庚”号主甲板以上的无磁材料优势,架设自主研制的STCM,配以高精度Octans姿态仪,通过全球导航卫星系统(GNSS)的时间同步控制,分别于2022年和2023年采集了南海北部两个航次的地磁三分量数据,检验综合误差模型难以兼顾的同步失准问题及其对船磁补偿的影响,以及探索如何采用地磁总场约束代替地磁三分量约束更可靠地补偿船磁效应。
一
设备配置和航次基本情况
2022年5—6月的航次主要测试多通道数据同步采集软件的功能和不同安装位置的STCM工作状态,希望既能减弱主甲板以下船体的磁性影响,又能避免航海雷达辐射对磁通门传感器的影响。这为2023年3月9—24日的航次确定了STCM安装于驾驶台上面尽可能高、又在雷达辐射盲区的合适位置(图1)。

图1 “嘉庚”号上STCM的安装位置
为了便于三轴磁通门传感器数据的充分备份,使用6个传感器的矢量阵和2个传感器的垂直梯度的数据采集方式,这也便于以后的梯度、张量测量方法的开发升级。数据通过前端接驳盒[图2(a)]的24通道控制器局域网(CAN)总线远距离传输至实验室的甲板单元[图2(b)],再通过串口与GNSS、Octans姿态仪[图2(c)]同步接入终端电脑的数据采集软件中,并通过图3所示界面监视所有8个传感器、GNSS、Octans姿态仪的数据质量和同步情况。

图2 STCM的配套设备

图3 STCM的数据采集和质量监控终端
为了测试STCM的测量精度,再使用Seaspy磁力仪同步进行拖曳测量。本次试验测线分布如图4所示,构成测网的有效里程达1128km,主测线8条,检测线5条,共计39个交点。其中,包含一条往返重复测线,并针对船磁影响分别完成了“8”字形、“O”形校准环和8方位试验。由于中间穿插测区外各种测站作业,测网并非一次性完成,可能会影响测量精度。

图4 测区测线和船磁试验点分布
二
载体磁补偿综合误差模型的构建
⒈综合误差模型及其三分量约束解算
STCM的测量误差主要来自传感器误差、安装误差和载体干扰场误差。在传感器坐标系下,设地磁场测量真值为Bmr,则由于传感器的三轴非正交度(矩阵P)、灵敏度误差(对角矩阵S)和零点偏移(矢量O),STCM的读数为

Bmr由传感器坐标系下的真实地磁场(Bem)和载体干扰场(Bs)两部分构成:

Bs包括载体固定磁场Bp和载体因姿态变化被地磁场感应磁化的磁场,与地磁场成线性关系:

其中,K为感应系数矩阵。由于传感器固定在载体上,姿态变化与载体一致,因此Bem与地理坐标系下真实地磁场(Be)之间的关系如下:

其中,D0是由于安装误差所需要的从载体坐标系到传感器坐标系的旋转矩阵,D则是大地坐标系到载体坐标系的旋转矩阵。
这样,上述4个式子合成得到STCM传感器的测量值:

令M = S·P·(K+I)·D0,
Bd =S·P·Bp+O,则式(5)可简化为:

式(6)和(7)分别为综合误差模型给出的地磁场的测量表达式和补偿表达式(之所以是补偿表达式,是因为海上真实的地磁场是无法直接获取的,用以下方法得到的Be也只是更接近真实值的估计值),设计思路是将传感器非正交误差、灵敏度偏差、安装误差和感应系数矩阵合成为综合误差系数矩阵M,将载体固定磁场的测量值和传感器零点偏移合成为偏置误差矩阵Bd。式(6)和(7)中,由横摇、纵摇和艏向姿态变化数据构成的欧拉旋转矩阵D是已知的,一旦在校准环上给定背景地磁场Be,通过求解式(6)的线性方程组,由传感器测量值Bm可给定综合误差系数矩阵M和偏置误差矩阵Bd的12个参数。然后,将M-1和Bd代入式(7)直接计算所有测线船磁补偿后的地磁三分量及总场值。
⒉综合误差模型的总场约束解算
在式(7)两边各自点乘,利用旋转矩阵的特性D-1=DT,可以得到地磁总场

显然,由式(8)地磁总场约束反演综合误差逆矩阵M-1和偏置误差矩阵Bd,既能避开校准环和测线上的姿态数据调用,又能避开地磁三分量直接进行地磁总场磁补偿计算。在此基础上调用姿态数据,仍可由式(7)实现地磁三分量磁补偿计算。采用地磁总场约束反演载体磁补偿参数的优势在于,海上高精度地磁总场(正常场+异常)的历史和现场测线数据很容易获得,而目前高精度地磁三分量模型,尤其是实测三分量数据海上很缺乏。采用地磁总场约束反演载体磁补偿参数,实现地磁三分量及总场磁补偿计算,应是目前可行的船载地磁三分量测量技术途径。
⒊总场约束和总场补偿的解算
令D1=(K+I)·D0,同时有M=S·P·D1。这样,式(6)可改写为

类比式(1),载体干扰场(感应磁场和固定磁场)的外部误差影响可按传感器内部误差作用方式一并对待,保留传感器的三轴非正交度(矩阵P)、灵敏度误差(对角矩阵S),零点偏移Bd包含固定磁场影响Bp,载体的磁感应影响K体现在载体到传感器的坐标旋转矩阵D1中,相应地,式(7)可改写为

利用旋转矩阵的特性D-1=DT、D1-1=D1T,可以得到

其中,非正交性矩阵(P)由三轴偏角u1、u2和u3表示:

这样,由式(11)地磁总场约束反演S、P、Bd的独立参数只有9个,而不是式(8)M、Bd的12个,相对来说,增加了约束条件,有利于提高载体磁补偿参数的精度。但是,与式(8)不同,式(11)的反演解算既避开了姿态数据,也避开了3个安装误差参数的解算,S、P、Bd的9个独立参数只能用于地磁总场的补偿计算。
三
Bm和|Bm|对姿态变化的响应和配准
⒈Bm和|Bm|对姿态的响应
根据以上模型,不难发现综合误差系数矩阵M和偏置误差Bd在一个测区内取固定值,而区别于地磁场Be的高频变化主要由受风浪和潮流影响的姿态变化所致。式(6)表明Bm对反映高频姿态变化的旋转矩阵D具有线性响应关系。因此,在进行地磁三分量测量时,先分别选取“8”字形、“O”形校准环,利用IGRF、实测地磁三分量和姿态数据代入式(6),反演得到一组综合误差系数矩阵和偏置误差;然后,再将这些参数重新代入式(6),仍旧利用IGRF模型场、实测姿态数据正演模拟地磁三分量。但在实际应用中,我们发现模拟地磁三分量与实测地磁三分量无论在幅值和相位上均具有一定的偏差。为了解这种偏差特点,又人为随机设置稍微不同的参数正演模拟地磁三分量,发现这种偏差总是存在的,特别是相位偏差,保持不变。0°航向一段测线的姿态、传感器坐标下模拟三分量和实测三分量的归一化曲线如图5所示,4个航向测线上模拟地磁三分量对三个姿态角的统计响应特性如表1所示。

图5 归一化后实测、模拟地磁三分量及总场与姿态变化对比
表1 地磁三分量对姿态的响应特性

如图5所示,实测值与模拟值的X、Y、Z分量或多或少都存在一定的相位失配。考虑到这种相位失配不随补偿参数的变化而变化,推测这是因为实际数据采集过程中,地磁三分量、姿态和位置信息等各自通过数据打包,经由百米长串口线或CAN总线传输后进入数据采集模块,再加上各自采样率差异的影响,导致的数据传输存在时延差,进而造成这种相位失配。另外,综合误差模型还难以考虑三轴磁通门传感器的若干微弱扰动,而实际上除了信号感应、传输、转换到存储带给三分量数据的滞后外,载体上涡流磁场、电机扰动及雷达、通信设备等产生的各种辐射信号也会造成实测地磁三分量的随机扰动。显然,为了提高综合误差模型的最后解算精度,需要考虑压制这些因素造成的误差影响。考虑到背景地磁场空间尺度变化平缓,综合误差模型输出的三分量相位变化主要取决于载体平台的姿态变化,背景地磁场的平缓变化以及磁补偿参数的误差大小对三分量相位变化的影响微弱,可以忽略不计。为此,可以利用实测姿态数据,在校正环上先行反演磁补偿参数;然后,再由磁补偿参数正演模拟校正环上地磁三分量,这样可由模拟地磁三分量来纠正实测地磁三分量的相位滞后,再由相位配准后的实测地磁三分量反演磁补偿参数;最后,对每条测线模拟和配准实测地磁三分量,提高船磁补偿的解算精度。至于随机的微弱扰动,则可以进行高频滤波,以缓解对综合误差模型解算精度的影响。
⒉Bm和|Bm|对姿态的配准
图5和表1展示了地磁三分量对姿态变化的响应关系,模拟三分量与横摇、纵摇和艏向之中的至少某个角度的同步变化比较明显,且实测三分量与姿态存在失配误差。根据综合误差模型可知,地磁三分量并不是与横摇、纵摇和艏向之中的单个变量变化完全同步的,X分量主要受纵摇和艏向的共同影响,Y分量主要受横摇和艏向的共同影响,Z分量主要受纵摇和横摇的共同影响。因此,提取或消除实测三分量数据的失配,就不能直接通过地磁三分量的测量值相互之间或其与某一个姿态角之间的配准来消除时延差,而只能通过对照相同测线地磁三分量的模拟来配准。
定量分析不同航向实测三分量与模拟三分量之间的失配情况,发现因时延差体现在波动相位上时与波动周期有关,故这种失配误差并非是个常量,不能通过整体的波形移位实现数据配准。为了可靠解算磁补偿参数,配准“8”字形、“O”形校准环数据,采取如图6所示的波形匹配方式:⑴以模拟三分量为基准,选择其波峰波谷点作为控制点;⑵相对应地,伸缩实测三分量波形,实现两者之间的配准。实际可选择一些明显对应的波峰波谷点,甚至一阶导数波峰波谷点,逐段进行伸缩匹配。

图6 “8”字形校准环实测与模拟地磁三分量、总场之间的配准
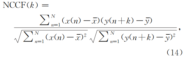
尽管测线数据量太大,但航向波动范围较小,这种失配误差就较为稳定,可以通过计算归一化交叉相关函数(NCCF),寻求最佳移位量k使其接近1,提高同步匹配处理速度。

其中,x(n)和y(n)分别表示模拟、实测三分量,
和
是x(n)和y(n)的平均值,k是移位量。
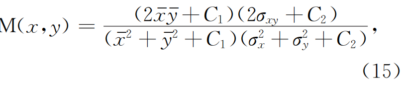
同步前、后,还可以通过计算结构相似度(SSIM)验证同步效果:

其中,
分别为x(n)、y(n)的方差,σxy为x(n)、y(n)两者之间的协方差。其中C1和C2是两个常数,用于避免分母为零的情况。结构相似度取值范围在[-1,1]之间,当其接近1时表示两者之间非常相似。例如,“O”形校正环实测与模拟地磁三分量(X、Y、Z)同步前后的结构相似度由0.9954,0.9938,0.7930提升为0.9991,0.9996,0.9543,Z分量同步后结构相似度得到显著提升。
四
配准前、后的磁场补偿效果对比
式(6)是一个求解线性方程组的问题,可通过各种改进的最小二乘法来求解。为获得可靠解,需要选取一个地磁场变化平缓(最好已知,也可以加载正常场来迭代反演逼近)海域,在其他磁干扰小的时机,采集不同航向、姿态的足够多三分量数据,与姿态和固定地磁场值一起代入式(6),得到综合误差系数矩阵和偏置误差。同步前,先用三分量约束求解得到配准前用以正演模拟的补偿参数,据此进行实测三分量的配准,再由式(6)反演配准后的综合误差系数矩阵和偏置误差,以提高Be的估计精度。例如,针对“O”形校准环实测地磁三分量数据,表2列出了配准同步前、后的综合误差系数矩阵和偏置误差,利用这些补偿参数,由式(7)解算的地磁三分量及总场相对背景地磁场的均方根差分别由±60.25,±86.72,±204.19,±77.82 nT降低至±57.36,±62.91,±59.16,±58.75 nT,同步后分别缩减了±2.89,±23.81,±145.03,±19.07nT。图7给出了同步前后Be估计精度的对比结果,可以看出Be的估计精度存在明显提升。
表2 “O”形校准环实测地磁三分量配准同步前、后的磁场补偿参数


图7 “O”形校准环同步前、后磁场补偿结果相对于背景场的三分量及总场残差直方图
采用式(11)的总场约束和补偿方法对同步前、后的数据进行相应处理,“O”形校准环同步前、后的补偿地磁总场与实测地磁总场的对比,及其两者之间残差直方图如图8所示。实测地磁总场数据为航次拖曳磁力仪采集获得。显然,同步后补偿地磁总场相对于实测地磁总场的偏差小于同步前,其均方根差由±55.09 nT降至±33.60 nT,由姿态变化导致的测量误差得到了有效控制。图7与8对比表明,总场约束的补偿效果优于式(6)的三分量约束解算。
将同步前、后式(11)的总场约束解算的参数用于测区测线的补偿计算,与拖曳总场进行相同的正常场、日变改正和调差处理,同步后的补偿总场异常和拖曳总场异常分别如图9所示,两者的起伏和走向趋势非常一致。同步前、后,测网的补偿总场异常交点均方根差由±17.75 nT降至±12.91 nT,相对于拖曳总场异常的外符合均方根差由±25.58 nT降至±18.85 nT,同步后的补偿精度得到了有效提高。

图8 “O”形校准环同步前、后磁场补偿总场相对于实测地磁总场的对比(a)及残差直方图(b)
五
总结与展望
本文对测网地磁三分量数据的补偿总场进行了改正和调差处理,主要得益于已有成熟的拖曳总场处理流程和方法,结果也易于与拖曳总场对比评判。然而,补偿三分量的解算是以后的发展方向,其计算、改正和调差处理方法还不成熟。前面已经列出了三分量和总场约束下的三分量补偿的解算方法,以及总场约束下总场补偿的解算方法。这三种方法途径各有不同,其中各自的算法更可以各取所需而变化多端。三分量约束求解线性方程组简便直接,但受限于背景场的可靠性太低,而背景场如果能够通过补偿三分量迭代改进,有可能比总场约束更有优势;总场约束得益于目前充足而可靠的总场数据,但非线性方程中补偿参数相互耦合,其中非正交度还套了好几层函数。这些不利和复杂因素也是限制补偿三分量计算精度提高的一大原因。为此,需要更多地进行试验比较,包括优化改正和调差处理方法,从而形成规范的处理流程和方法,直至STCM方法得到普遍推广应用。

图9 测网拖曳总场异常(a)和同步后补偿总场异常(b)剖面图
本文重点采用综合误差模型三分量约束求解线性方程组的简捷性,得到不需要很高精度的补偿参数,就能模拟三分量对姿态的响应特性,再以模拟三分量同步配准实测三分量。在此基础上,无论采用三分量约束,还是采用总场约束,再次求解和使用补偿参数,均可显著提高补偿三分量及总场的计算精度。这说明实测三分量存在综合误差模型以外的干扰,其中实测三分量对姿态的失配是一项可改正的误差。实测地磁三分量对姿态变化的响应具有滞后性,其中Z分量滞后大些(可达500 ms),再加上X和Y分量的滞后影响,总场滞后更明显。这种滞后在小型载体(如飞机或小艇)上一般不明显,而对STCM来说则不容忽略,这项误差改正使得补偿总场内符合精度接近±13 nT,外符合精度降到±20 nT以内,这对改进三分量数据质量起着关键作用。
文中三分量失配原因的分析和同步配准的方法结果表明,提高三分量测量精度可从硬件降低数据时延差和软件提高数据同步两方面改进。同时,研究中还注意到,除了高频失配误差外,三分量数据的其他高频成分很丰富,与拖曳总场相比,很多属于高频误差,这可能是目前STCM测量精度受阻的最大障碍。针对这个问题,需要从多个方面着手寻找解决该问题的技术途径:⑴设计相应的滤波器,试验补偿前、后的滤波有何差别,找到合理可行的滤波器和滤波策略;⑵分析梯度、张量测量架构的数据,构建相应的综合误差模型及其约束和补偿算法,以便从配准、约束和补偿上压制这种高频误差。
STCM测量的首要措施,应该选择载体平台上各种干扰尽可能小的地方。尽管本研究得益于“嘉庚”号的低磁特性,安装STCM的驾驶台远离机舱和甲板的各种电机扰动,但船上航海、通信和气象方面的雷达设备对磁通门传感器仍有所影响,为此我们采取了抗高频磁扰的防护。如果STCM能够纳入大型科考船的常规设备,从船只设计、制造和设备安装上予以配合,优化压制各种干扰影响的措施,有望进一步提高STCM的测量精度。
【致谢】本文资助项目:全球变化与海气相互作用(二期)专项—船载地磁三分量测量系(STCM)研制(GASI-01-YZ-CLY)。
本文要特别感谢厦门大学“嘉庚”号科考船提供采集数据的机会,尤其感谢厦门大学船舶中心探测部许明珠工程师等在海上提供的帮助。同时,感谢中山大学测绘学院袁园副教授,自然资源部第二海洋研究所地球物理与地质建模团队吴文冬、吴国超和吴招才等老师,以及西安华舜测量设备有限责任公司和杭州电子科技大学在系统研制过程所作的贡献。
1
END
1
【作者简介】文/高金耀 樊新志 贺惠忠 王伟平 李娜 吴学文 蔡晓仙,分别来自自然资源部海洋环境探测技术与应用重点实验室、自然资源部第二海洋研究所、罗德曼克(上海)海洋科技有限公司、厦门大学科考船运行管理中心、山东科技大学地球科学与工程学院。本文受基金项目赞助,国家专项任务(GASI-01-YZ-CLY)。文章来自《厦门大学学报(自然科学版)》(2026年第2期),用于学习与交流,参考文献略,版权归作者及出版社共同拥有,本文编发已征得作者授权。


相关阅读推荐
海洋论坛▏徐行:重磁测量在海岛礁及其邻域中的应用与展望
海洋论坛▏海洋磁力测量技术应用及发展现状
知识窗▏海洋磁力测量技术的全面解析与应用
海测讲坛▏汤民强:关于海洋磁力测量的一些思考
海洋论坛▏刘迪仁等:海洋磁力测量技术的研究
海洋论坛▏地磁场模型及在海洋环境中的应用需求研究





公众号
溪流之海洋人生
微信号▏xiliu92899

用专业精神创造价值
用人文关怀引发共鸣
您的关注就是我们前行的动力
投稿邮箱▏2705319347@qq.com


