同日两篇Nature!德国、瑞士两国学者实现光晶格中费米原子高保真度量子门

✦
同日两篇Nature!
德国、瑞士两国学者实现
光晶格中费米原子高保真度量子门
✦
近日,德国、瑞士两国学者同日在线发表了两篇关于中性原子量子计算的突破性研究。相比于超导比特和光镊等方案,基于光晶格中性原子的双比特门方案在保真度上通常面临挑战。
德国马克斯·普朗克量子光学研究所的Immanuel Bloch与Titus Franz研究团队和瑞士苏黎世联邦理工学院的Tilman Esslinger研究团队,分别在光晶格平台中实现了针对费米子原子的超高保真度两比特量子门,显著缩小了这一性能差距。这两项独立的研究聚焦于完全相同的物理系统——光晶格中的费米子原子,旨在解决同一个量子信息处理难题,即如何物理控制与处理极易引发系统退相干的高能级“双占态”(doublon),但采取了截然不同的理论视角与控制策略。
德国团队致力于通过高度优化的脉冲技术极力压制瞬态双占态的产生,而瑞士团队则打破常规,主动利用费米子的统计反对称性与瞬态双占态,构建出受系统对称性保护的拓扑几何门。这两项工作在提升量子门保真度与鲁棒性方面取得了重要成果,共同推动了光晶格中性原子量子计算的发展。相关成果于4月8日发表于国际权威学术期刊《自然》(Nature)。

Credit: Nature

Credit: Nature

量子计算的物理实现高度依赖于对底层量子态的高精度相干控制。在众多物理平台中,基于光学晶格的中性原子系统因其完美的空间周期性和极高的比特密度,成为了大规模量子计算与强关联费米子系统(如费米-哈伯德模型)量子模拟的理想平台。量子门是实现量子计算的必要条件,具体到光晶格体系,实现两比特量子逻辑门的基础物理机制,是通过控制相邻格点间的势垒,使原子波函数发生空间重叠并引发碰撞相互作用。
然而,在促使相邻格点上的两个中性原子靠近并发生碰撞相互作用的过程中,系统不可避免地面临一个严峻的量子信息处理难题,即如何物理控制与处理高能级的双占态(doublon)。当两个原子发生波函数空间重叠时,它们有极大概率占据同一个物理位置形成双占态。这种高能级状态会导致量子态跃迁出由单占态构成的计算子空间,引发严重的泄漏误差(leakage error),进而造成量子信息的丢失。过去的处理思路中,为了规避这一泄漏通道,实验人员必须在排斥相互作用能远大于单粒子隧穿能的受限物理区间内采取极其缓慢的绝热演化。但这直接导致了一个控制上的两难困境:为了抑制双占态而延长的门操作时间,会使量子态更多地暴露在全局环境噪声中,从根本上限制了量子逻辑门的最终保真度与操作速度。因此,寻找一种既能快速执行受控碰撞,又能有效克服或转化双占态泄漏效应的机制,正是上述两支顶尖研究团队共同致力于解决的核心量子信息难题。
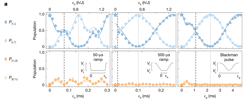
德国马克斯·普朗克量子光学研究所的 Immanuel Bloch 与 Titus Franz 研究团队,以光学超晶格中的费米子锂-6原子为研究对象,展示了超高保真度的碰撞纠缠门。

Credit: Nature
物理机制与控制策略
在常规的超交换机制中,为了避免双占态的激发,实验人员通常需要保持原子的排斥相互作用能U远大于相邻格点间的单粒子隧穿能t ,即在U/t≫1的物理区间内采用极其缓慢的绝热演化。这不仅增加了系统的控制难度,还会使量子态更长时间地暴露在退相干环境中,限制了门操作的执行速度。
为了克服这一物理限制,该团队引入了一种准绝热的布莱克曼脉冲控制策略。在超晶格系统中,研究人员通过布莱克曼脉冲极其平滑地调节短晶格的深度,从而控制双势阱内的隧穿率。实验表明,该脉冲技术在不影响系统内在能量尺度的情况下,能够有效避免自旋自由度与电荷自由度的多余混合。实验数据显示,在操作过程中,双占态的瞬态激发率被严格压制在 5%以下。这种方法在门操作速度与演化绝热性之间找到了极佳的平衡点。

Credit: Nature
实验结果呈现
通过高分辨率的量子气体显微镜,研究团队对离散门操作和连续时间演化进行了单格点和单自旋敏感的全面表征,取得了一系列显著的实验结果。在连续演化测试中,系统展现出极高的相干振荡品质因数,其自旋交换振荡的高斯拟合衰减时间达到了33±2 毫秒,对应于110±8次的相干振荡。与此同时,相干原子对隧穿的衰减时间也达到了15±3毫秒,对应55±10次相干振荡,这些数值创下了光学超晶格平台及所有碰撞纠缠门中的最高记录。在门保真度方面,通过应用一系列优化的布莱克曼脉冲,研究团队在连续施加多达20个两比特纠缠门(
门)后,通过指数衰减拟合提取出相邻两个中性原子之间的平均纠缠门保真度高达99.75±0.06% 。

Credit: Nature
此外,生成的纠缠态表现出超长的寿命。在自旋敏感的 Ramsey 干涉测量中,通过施加强磁场梯度驱动单重态-三重态振荡,团队证实了生成的纠缠贝尔态具有极强的抗噪能力。

Credit: Nature
得益于帕邢-巴克物理区间中极小的差分磁偶极矩,纠缠态的相干寿命超过了10秒,这比约 1.125毫秒的单次纠缠门操作时间长了整整四个数量级。基于上述成果,团队进一步开发了复合原子对交换门。该门序列通过交替使用相互作用脉冲和电荷敏感的动态倾斜,能够在完全不改变自旋态的前提下,选择性地对电荷区执行交换操作,为未来量子化学模拟中的非原生哈密顿量构建提供了关键工具。

Credit: Nature
与之形成鲜明物理对比的是,苏黎世联邦理工学院的 Tilman Esslinger 团队在动态光晶格中的费米子钾-40(40K )气体中,展示了一种基于拓扑几何演化路径的受保护两比特量子交换门(SWAP门)。面对由控制激光强度波动引起的参数噪声问题,该团队放弃了极力压制双占态的常规思路,转而主动促使处于特定自旋态的原子发生空间重叠。

Credit: Nature
物理机制与控制策略
该物理机制的核心在于深度利用费米子的内禀交换反对称性。在光晶格双势阱中,对于处于自旋对称状态(自旋三重态)的两个费米子,受泡利不相容原理的物理限制,其空间波函数必须具有反对称性。这意味着三重态系统在任何情况下均无法形成空间重叠的双占态。在双势阱偏置从极负值扫描至极正值的整个参数演化周期内,三重态由于无法发生重叠,其本征能量始终维持在零能级,与系统动力学完全解耦,不积累任何动力学相位。
相反,对于处于自旋反对称状态(自旋单重态)的费米子,其空间波函数是对称的,因此被物理法则允许占据同一格点形成双占态。在无 Hubbard 相互作用的特定参数设定下,单态与双占态在演化中构成了一个暗态子空间。系统在包含双占态的扩充希尔伯特空间中完成了一次闭合的参数循环。在系统手征对称性和时间反演对称性的严格保护下,该暗态的能量始终保持为零,消除了动力学相位,并在参数空间中积累了严格等于 −π 的几何拓扑相位。单重态积累的−π几何相位与三重态积累的0相位之间形成的相对相位差,精确地实现了高保真度的两比特自旋状态交换。
实验结果呈现
由于该几何门的演化完全依赖于系统全局的几何拓扑特性和内在物理对称性,而非控制参数的绝对精确度,实验结果在宏观系统中展现出了极强的抗噪性能与高保真度。在包含17000多个费米子原子对的宏观不均匀超晶格系统中,经过对最多32个连续 SWAP 门的测量和统计分析,原始单次门操作保真度达到了99.5±0.1% 。在进一步测定并剔除由原子物理逃逸导致的背景损耗后,得出的损耗校正幅度保真度更是高达99.91±0.07% 。

Credit: Nature
为了严格检验其内禀保护特性,研究团队在控制光晶格的激光势阱中主动注入了带宽为2千赫兹的白噪声。测量结果显示,即使注入高达标称隧穿能5%的强度波动噪声,该几何交换门的保真度依然呈现出明显的平宽带,未发生实质性下降,从实验层面确证了拓扑几何闭环对随机噪声的物理压制效果。此外,团队还将该几何门机制推广至相互作用能不为零的直接交换机制中,并与传统的超交换机制进行了量化对比。结果表明,基于双占态的直接交换纠缠门实现了99.0±0.2%的损耗校正保真度,显著优于传统超交换门93.8±0.7%的表现。

Credit: Nature
其深层物理原因在于,传统的超交换相互作用是一种二阶微扰过程,其交换能量与单粒子隧穿能的平方t2 成正比,且演化速度缓慢,极易积累环境误差。而基于双占态的直接交换机制则是一种一阶物理过程,其能量尺度直接取决于系统的相互作用能U 。将二阶过程转化为一阶过程,不仅极大提升了门操作的绝对演化速度,减少了系统暴露在环境中的退相干时间,更从根本上切断了由于控制激光强度波动导致隧穿能误差被平方级放大的物理路径。尤为值得一提的是,瑞士研究团队还将该拓扑几何门与前文德国团队所采用的最先进的布莱克曼脉冲控制技术进行了直接的基准对比测试。实验结果明确显示,在相同的参数噪声背景下,基于一阶过程与几何拓扑保护的交换门在保真度和抗噪性能上均优于经过高度参数优化的布莱克曼脉冲方案,这充分证明了通过重构底层物理演化路径来提升量子计算鲁棒性的巨大潜力。

Credit: Nature
这两项同日发表的独立研究,通过两种不同维度的物理视角,深入应对了光晶格中性原子量子计算发展中的同一个核心控制挑战。德国马普所团队将经典的动态脉冲控制技术推向了极致,通过严格抑制电荷区与自旋区的物理混合,实现了操作速度与系统保真度的极佳平衡。而瑞士苏黎世联邦理工学院团队则引入了全新的拓扑几何演化机制,将以往被视为退相干干扰因素的高能级双占态,创造性地转化为抗噪受保护的有效量子计算资源。
这两种截然不同却又相互补充的研究路径,为费米子受控碰撞机制在光晶格量子计算中的应用提供了有力的实验依据,也为开发具备非原生相互作用模拟能力的可编程费米子量子处理器奠定了坚实的物理基础。两项工作的优异保真度和长相干时间,共同推动了光晶格中性原子量子计算架构向更高精度、更强鲁棒性的大规模容错应用迈出了重要一步。
参考文献
1. Kiefer, Y., Zhu, Z., Fischer, L. et al. Protected quantum gates using qubit doublons in dynamical optical lattices. Nature (2026).
2. Bojović, P., Hilker, T., Wang, S. et al. High-fidelity collisional quantum gates with fermionic atoms. Nature (2026).
点
点击底部“阅读原文”,查看论文内容

END
关于量子科话
量子科话面向热爱科学、关心科技发展的公众,介绍量子科技领域重要前沿研究进展和国内外相关发展动态,对公众关注的科学问题提供客观的解读,助力加深公众对量子科技的认识,感受量子世界的奥妙。
量子科话由合肥国家实验室和中国科学院量子信息与量子科技创新研究院共同主办。

