从欧拉到人工智能:数学常数的统一公式——Tomer Raz等
您想知道的人工智能干货,第一时间送达

数学家们提出了一个自动化框架,用于统一同一常数(如π)的多种表达形式迥异、但有深层关联的数学公式。


历史上有关Π数值计算的著名数学公式:

守恒矩阵场(CMF,conservative matrix field)包含文献中许多著名的公式:

作者:Tomer Raz(托默・拉兹,以色列理工学院)2026-3-17 译者:zzllrr小乐(数学科普公众号)2026-3-28 |
|---|
数百年来,常数 π 一直吸引着学者们的关注,催生出众多用于计算它的公式,例如无穷级数和连分数。尽管这些公式各具重要性,但许多公式之间的内在关联仍未被揭示,缺乏能够带来更深层次理解的统一理论。统一理论的缺失反映了数学和科学领域的一个普遍挑战:知识通常通过孤立的发现积累,而深层次的关联往往隐藏不显。在本研究中,我们提出了一个用于数学公式统一的自动化框架。该系统结合了大语言模型(LLMs)用于系统性公式收集、LLM - 代码反馈循环用于验证,以及一种新颖的符号算法用于聚类和最终统一。我们以 π 为标志性案例展示了这一方法 ——π 是符号统一的理想测试平台。将该方法应用于 455050 篇 arXiv 论文后,我们验证了 385 个独特的 π 公式,并证明了其中 360 个(94%)公式之间的关联,其中 166 个(43%)可由单一数学对象推导得出 —— 该对象将欧拉、高斯、布龙克尔(Brouncker)的经典公式与 “拉马努金机器” 通过算法发现的新公式联系起来。我们的方法可推广至其他常数,包括 e、ζ(3) 和卡塔兰(Catalan)常数,这表明AI人工智能辅助数学有望揭示隐藏结构并实现跨领域知识的统一。
1 引言
对 π 的首个严格近似可追溯至公元前 250 年左右的阿基米德,他确定了 π的取值范围为 [16]。现代 π 近似计算采用了更复杂的公式。例如,源于拉马努金公式 [48] 的楚德诺夫斯基(Chudnovsky)算法 [15],至今仍是创造精度记录的关键工具;同样,BBP 公式 [6] 因能够直接计算特定数位而无需先计算前面的数位,也具有重要意义。此类突破推动了计算机科学的根本性进步,如高精度算术 [7]、进化优化 [35] 和椭圆曲线密码学 [39]。近年来,研究人员开发出能够生成大量数学常数公式猜想,有时甚至能提供证明的计算机算法 [9, 17, 46]。
数百年来,与 π 相关的研究成果层出不穷,这引出了一个长期存在的问题:这些公式之间究竟存在怎样的关联?这个问题至关重要,不仅能避免重复发现(例如,兰格Lange 1999 年提出的公式 [37],实际上布龙克尔Brouncker勋爵早在 1656 年就已通过求积连分数推导得出 [42])。许多等价公式初看之下差异巨大,一个典型例子是欧拉的连分数,它可提供无穷级数的等价表示 [23]。这种复杂情况凸显了对这些关系进行系统性统一的迫切需求。
迄今为止,人工智能在数学领域的应用主要集中在自动定理证明 [44, 56]、自动猜想生成 [3, 24, 25, 40, 46]、回归分析 [31, 32, 55],以及近期兴起的用于数学发现的 LLM - 工具集成 [27, 29, 50, 59]。然而,截至目前,尚无研究致力于数学知识的符号统一问题。

图 1:数个世纪以来的代表性 π 公式
公式来源包括:桑伽马格拉马的马德哈瓦(Madhava of Sangamagrama,14/15 世纪,印度)、约翰・沃利斯(1656 年,英国)、卡尔・弗里德里希・高斯(1813 年,德国)、斯里尼瓦瑟・拉马努金(1914 年,印度)、拉约尼Raayoni等人(《自然》,2021 年)
在本研究中,我们提出了一个用于大规模收集、识别和统一数学公式的系统(图 2)。该研究利用了基于大语言模型的内容理解最新进展、新发现的守恒矩阵场(CMFs)概念 [21, 58],以及一种名为 UMAPS 的新颖数学算法 —— 该算法通过符号结构映射实现统一,利用上边缘等价性(coboundary equivalence)数学原理寻找并证明公式之间的关联。为展示这一方法,我们选择了 π 计算公式作为符号案例研究。我们从文献中提取并验证了 385 个独特的 π 公式,发现其中 43% 对应于单一守恒矩阵场内的不同轨迹 —— 我们推测,一个或少数几个独特的守恒矩阵场能够统一所有与 π 计算相关的知识(见第 5 节)。
图 2:数学知识统一的自动化方法
收集大量数学公式语料库,将每个公式转换为可执行代码进行验证;然后通过转换为标准形式对公式进行聚类,并使用新颖的符号计算算法证明它们之间的关联,从而实现统一。
据我们所知,本研究是首个将 LLM 与符号工具集成用于数论发现的工作,也可能是首个将 LLM 与专有研究级计算机代数系统集成的研究。该研究的成功凸显了海量数学知识自动化统一的前景。除 π 之外,我们还将算法应用于 e、和卡塔兰常数等其他数学常数,以及多种公式结构,展示了其广泛的应用潜力。附录 A 提供了全文关键术语表。
2 数学背景
2.1 作为数学常数公式通用表示的递推关系
多种类型的公式(包括无穷级数、乘积和连分数)均可转换为递推关系,为统一提供了连贯的框架。若函数uₙ
满足 m 阶递推关系,则有
uₙ=a₁,ₙuₙ₋₁+a₂,ₙuₙ₋₂+⋯+aₘ,ₙuₙ₋ₘ


其中p₁,ₙ, ..., pₘ,ₙ是初始条件为pᵢ,ⱼ=δᵢʲ时递推关系的解,其他不同初始条件的解可表示为这些解的线性组合。
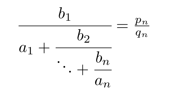
递推关系可直接通过lim n→∞ uₙ = L(例如无穷级数)计算目标常数 L,或通过两个递推解的比值lim n→∞ pₙ / qₙ = L(例如连分数)计算。在二阶递推关系的特殊情况下,uₙ =aₙ uₙ₋₁+bₙ uₙ₋₂,任意一对解都可表示为连分数形式:

当函数和为多项式时,上述公式被称为多项式连分数(PCF),记为 PCF。详见附录 E。
2.2 描述每个公式的动态度量
数学常数 L 的公式提供了一个收敛的有理数序列pₙ / qₙ (称为丢番图逼近)。该公式可通过捕捉收敛速度等特性的动态度量来表征。近期一篇论文 [52] 提出使用此类度量进行公式发现和聚类。本文中,我们使用收敛速度和无理性测度这两个度量指标。收敛速度定义为:

在考察两个候选公式的关联时,它们的 r 值之比可暗示其中一个公式是否是另一个公式子序列的变换(见附录 E.5 的示例)。pₙ / qₙ的无理性测度定义为极限δ=lim n→∞ δ,其中:

我们发现,两个公式具有相同的 δ 值是它们可能存在关联的最强指示 —— 因为 δ 在多种变换和子序列选择下具有不变性。下文将介绍,一旦两个公式具有相同的r∗和 δ 值,我们将使用 UMAPS 算法推导并证明它们之间的关联。
2.3 守恒矩阵场(CMFs)
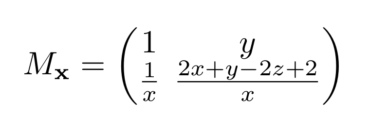
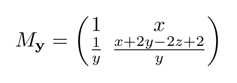
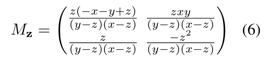
守恒矩阵场(CMF)是一种推广特定常数公式的数学结构,最初通过推广多项式连分数(PCFs)发现 [21],后来被证实具有更广泛的适用性(附录 G)。为便于说明这一概念,我们重点关注 π 的守恒矩阵场。该守恒矩阵场为 3 维,即由三个矩阵Mx、My、Mz组成,其元素为变量(x,y,z)的有理函数,满足:
Mx(x,y,z)My(x+1,y,z)=My(x,y,z)Mx(x,y+1,z)
Mx(x,y,z)Mz(x+1,y,z)=Mz(x,y,z)Mx(x,y,z+1)
My(x,y,z)Mz(x,y+1,z)=Mz(x,y,z)My(x,y,z+1)
这一性质描述了 3 维格点中两点间转移的路径无关性(格点示意图见图 5b),类似于守恒向量场。守恒矩阵场满足离散平坦联络的性质 [11]。关于公式如何作为守恒矩阵场内的方向存在,详见附录 G.1。守恒矩阵场的一个显著特征是:若两个公式被发现是具有不同初始点的平行轨迹,则它们对应的矩阵是上边缘等价的。
许多已知的 π 公式都可归入单一守恒矩阵场(详见附录 G.2):



3 公式符号统一的方法
3.1 收集:从文献中大规模检索公式
首个挑战在于公式的自然语言处理。我们结合正则表达式和大语言模型(LLMs)分析了 455050 篇 arXiv 论文的 LATEX 源代码,提取所有数学表达式,得到 278242506 个字符串。筛选包含 π 符号的表达式,检索出 121662 个与 π 相关的方程。由于 π 符号在科学文献中使用广泛,大多数出现场景与计算该常数本身无关。为解决这一问题,同时考虑到先验情况下关于有效公式的 LATEX 格式数据极少,我们使用 GPT-4o mini [41](选择其是因为性价比高)将每个潜在公式分类为 “计算 π” 或 “不计算 π”,将候选公式数量减少至 3367 个。随后,GPT-4o 将公式按类型分类:级数、连分数或其他类型,最终得到 1656 个公式候选。
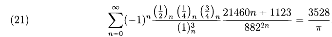
\sum_{n = 0}^{\infty} (-1)^n \frac{(\frac12)_n (\frac14)_n (\frac34)_n}{(1)_n^3} \frac{21460n + 1123}{882^{2n}} = \frac{3528}{\pi} | |
(-14681/1695923712 - (1946417*n)/89035994880 - (1366829*n^2)/66776996160 - (46871*n^3)/5564749680 - n^4/777924)*f[n] + (-71386776899/8479618560 - (1836628904911*n)/89035994880 - (1222951171699*n^2)/66776996160 - (39244403773*n^3)/5564749680 - (777923*n^4)/777924)*f[1 + n] + (45166/5365 + (110669*n)/5365 + (196509*n^2)/10730 + (151343*n^3)/21460 + n^4)*f[2 + n] = 0 | |
图3:公式收集流程及示例
(a) 从 arXiv 平台的论文中提取方程。
(b) 对LATEX字符串运用正则表达式,检索出仅含 π 作为唯一无理数的级数和连分数模式(详见附录 I.3)。
(c) 采用 OpenAI 的 GPT-4o mini 模型进行零样本分类,识别出计算常数 π 的公式;随后,利用 OpenAI 的 GPT-4o 模型判定公式类型(级数、连分数或两者皆非)。
(d) 借助 GPT-4o 模型提取级数的通项,或连分数的部分分子与部分分母;再将公式转化为代码。
(e) 运用整数关系查找算法 PSLQ 对公式进行计算与验证。
(f) 利用RISC的递推拟合工具 [33],将公式转化为标准递推式。
3.2 收集:提取与验证
提取和验证阶段依赖于一个 LLM - 代码反馈循环,该循环为 PSLQ 算法提供输入。每个表示为 LATEX 字符串的方程都必须解析为计算机代数系统(CAS)(本文使用 SymPy [38])以进行进一步处理。由于 LATEX 格式多样,难以通过预定义逻辑系统地转换为可执行代码,因此从 LATEX 字符串中自动提取代数形式尤为复杂 [14, 47]。大语言模型(LLMs)通过上下文处理文本并关注相关部分,帮助我们克服了这些障碍,解决了可能需要复杂规则才能完成的自然语言处理任务。具体而言,我们使用 OpenAI 的 GPT-4o 将相关 LATEX 转换为可执行的数学代码 [22, 43, 61](详见附录 I 中的具体提示词)。为修正 LLM 生成公式代码中(常见的)错误,我们应用 LLM - 代码反馈循环进行代码验证:将错误与有问题的代码一起反馈给 LLM 以进行修正,最多可修正三次(详见附录 I.6.3)。
我们通过运行公式代码获取数值近似值,然后应用整数关系算法 PSLQ [26],验证每个提取的公式是否计算常数 π。由于我们发现 GPT-4o 在某些情况下会错误提取极限值(见表 14),因此不会直接从 LATEX 字符串中提取极限值进行验证。相反,PSLQ 方法能够修正这些关键的 GPT 错误,并重现预期的公式。在 660 个候选公式中,385 个被验证为 π 公式,并进入标准化阶段(详见附录 I.5)。
3.3 聚类:使用标准形式
统一的第一步是将每个公式转换为其标准形式:最简单的带多项式系数的线性递推关系(附录 E.4.1)。自动化代数工具在解决此类任务时的表现具有不确定性。因此,我们采用一种计算方法将公式转换为多项式递推关系:使用 RISC 的 Mathematica 包 [33],为每个有理数序列拟合带多项式系数的线性递推关系。生成的递推关系经过数值验证后,再传入 Maple 包以确保阶数最小化 [57, 60],从而找到可证明的最小多项式递推关系。在 385 个验证后的公式(第 3.1 节)中,380 个可表示为二阶递推关系,5 个为三阶递推关系(附录 B.6 和附录 C.3 将展示如何处理三阶递推关系)。
相同的标准形式可涵盖多种类型的公式,包括连分数和无穷级数。因此,转换为标准形式可自动实现不同公式的统一:从 385 个公式中得到 149 个不同的二阶标准形式和 4 个三阶标准形式,共 153 个标准形式(部分示例见表 1)。

表 1:标准形式表示
将公式转换为标准形式可揭示不同形式表达式的等价性(例如 1、2),而更复杂的关联则留待算法后续步骤解决。详见附录 C.4。
3.4 聚类:使用动态度量
聚类阶段是一种启发式方法,用于指导应尝试通过 UMAPS 证明哪些公式等价。具有相同度量的公式可能与同一常数相关 [52]。这些度量还能指示更复杂的关联,使公式能够以系统的方式统一,证明它们之间的解析变换关系。首先,通过无理性测度 δ(图 4a)比较标准形式公式 ——δ 是潜在等价性的最可靠指标。每个新公式首先与守恒矩阵场中具有相同 δ 的递推关系对应的方向进行比对。由于 δ 具有连续性 [21],可通过对方向参数进行梯度下降来优化搜索。
我们发现仅靠 δ 不足以暗示等价性,因此补充使用收敛速度比rᴀ:rʙ。将标准形式 A 按rʙ折叠(附录 E.5),标准形式 B 按rᴀ折叠(图 4b),使它们以相同的速度收敛。下一步通过 UMAPS 找到它们之间精确的代数关联。
3.5 统一:使用 UMAPS 算法实现上边缘等价

图 4:匹配算法:连接多项式线性递推关系
该算法以多项式连分数(PCFs)为例进行演示,但可推广至任何线性多项式递推关系。
(a)计算两个 PCF 的动态度量 [52](无理性测度δᴀ、δʙ和收敛速度比rᴀ/rʙ)。δ 度量用于识别潜在关联 —— 仅当(实际应用中,我们测试两者差值是否在 0.06 以内)时,PCF 才可通过上边缘关联。
(b)将按rʙ折叠,按rᴀ折叠(附录 E.5)。
UMAPS 流程(c)-(e):
(c)求解一般莫比乌斯变换(2×2 矩阵),将其应用于的极限可使其与的极限相等。
(d)将 PCF 表示为矩阵形式A和B,通过关系传播上边缘矩阵至(本研究中 N=40 已足够,详见附录 D)。
(e)假设的一般形式为有理函数,其分子分母多项式次数不超过,并使用标准化的求解其系数。若找到并验证此类解,则 PCF 是上边缘相关的。详见附录 C。
我们提出的通过符号结构映射实现统一的算法(UMAPS)基于已确立的上边缘等价概念(附录 E.4),但在本研究之前尚无专门的上边缘求解器。若存在矩阵,使得
(7)
则、 是上边缘等价的。
当递推关系的友矩阵——式(1)是上边缘等价时,这一定义可推广至递推关系(图 5a、d),此时有

由于任何带有理函数系数的矩阵都可缩放为带多项式系数的矩阵,因此可定义:若存在矩阵和多项式、,使得
(8)
则、是上边缘等价的。
由于未知多项式、与未知上边缘矩阵 U 的乘积,寻找两个多项式矩阵之间的上边缘等价本质上是一个非线性问题,且每个多项式的次数未知。尽管存在非线性,我们仍提出了一种适用于一般 m 阶的上边缘求解器算法(附录 C.3)。
UMAPS 无需求解非线性方程即可找到解,而是利用递推极限计算经验上边缘矩阵序列,其元素拟合为有理函数 [53]。该算法基于以下引理:
引理 1(上边缘等价矩阵的必要条件):设和是收敛的 PCF,其相关友矩阵为、。若与是上边缘等价的,则和通过有理莫比乌斯变换相关联;此外,若 U(n) 是上边缘矩阵,则(U(1) 作为莫比乌斯变换应用于)。
高阶递推关系的推广证明(引理 4)以及上边缘矩阵的唯一性证明(引理 5)详见附录 F。这些证明共同表明,如推论 1 所述(证明见附录 C.3),UMAPS 足以求解上边缘矩阵。
推论 1(UMAPS 的充分性):若两个矩阵存在上边缘矩阵,且上边缘矩阵的每个有理函数元素的多项式次数不超过 d,则运行 N≥2d+1 的 UMAPS 足以恢复该上边缘矩阵。
图 4 总结了两个标准形式公式的匹配流程。使用该方法,我们发现表 1 中的公式 1、2、5 是等价的,公式 3、4 也是等价的。附录 B.1 描述了该算法在这些公式上的应用,附录 C 列出了相关算法。附录 D 提供了算法对超参数的敏感性研究。该流程适用于每个标准形式公式:计算其 δ 值,利用 δ 作为守恒矩阵场中方向的连续函数这一特性,定位可能产生公式对的上边缘算法的有效方向。然后,在公式与守恒矩阵场的代表性递推关系之间应用匹配算法。若公式与守恒矩阵场的代表性递推关系匹配,则证明该公式由该守恒矩阵场生成。完整结果列表见附录 J,π 的部分结果详见第 5 节。

图 5:上边缘等价:公式转换为标准形式后连接不同公式的数学框架。
(a)上边缘条件将公式重塑为守恒矩阵场中的平行轨迹(b、c)。
(d)两个上边缘等价的著名公式示例,展示了它们的上边缘矩阵和极限,构成了新等价性的证明。
4 基准测试
4.1 与其他符号统一方法的比较
本研究首次大规模解决符号统一问题,因此尚无标准基准用于性能比较。主流大语言模型(LLMs)通常无法应对这一完整挑战。例如,我们将算法的等价性检测和证明能力与 LLMs 进行了比较:我们让两个领先的 LLMs(GPT-4o 和 Gemini 2.5 Pro Preview)识别并证明 10 对由我们的算法证明等价的公式(表 2)。所选公式对在折叠后具有相同的动态度量(r, δ)—— 这是守恒矩阵场中平行轨迹的较简单证明场景。即使对于这些较简单的任务,LLMs 的表现也仅有限成功。我们未发现任何 LLM 能在没有相同动态度量的公式对之间找到关联。
4.2 LLM 模型性能比较
我们以两种不同方式利用 LLMs 进行分类和提取。表 3 比较了三种提取器 LLM 的性能 —— 我们发现提取器 LLM 的选择更为关键,因为它用于更高级的 LLM - 代码反馈循环。通过合并三个对比 LLMs 发现的验证公式(第 3.2 节)建立基准真值。
表 2:LLM 在 10 对随机选择的具有相同动态参数的公式对中检测和证明等价性的性能(附录 H)。所有 LLM 证明均经过人工验证。
表 3:不同提取器 LLM 在成功收集公式方面的性能。LLM 错误分为 “代码错误”(无法运行的代码)和 “符号错误”(错误识别公式成分,如连分数多项式)。加粗行标记为本研究其余结果所使用的 LLM 选择。
5 结果
5.1 著名公式之间的等价性示例
我们的自动化系统证明了公式之间此前未知的等价性。其中包括著名的例子,如拉马努金 1914 年提出的一个公式,以及 17、18、19 世纪布龙克尔勋爵、欧拉和高斯的多项式连分数(PCFs)[23, 28, 42]。例如,拉马努金 1914 年发现的以下级数 [48]:


图 5d 证明了另一对著名公式的等价性:(1)PCF (2n+3, n (n+2))——2021 年首个由计算机发现的 π 公式 [46];(2)PCF (2n+1, n²)—— 高斯 1813 年发表 [28],当时是计算 π 数位的高效方法。
5.2 由守恒矩阵场(CMF)统一的公式
π 的守恒矩阵场(式(6))涵盖了大部分收集到的公式(表 4),部分示例及其对应的轨迹如图 6 所示。
表 4:统一结果摘要。左列针对所有验证公式,右列针对标准形式。公式来自 140 篇 arXiv 论文(表 15),其中 137/140(98%)的论文至少有一个公式通过标准化和 UMAPS 被证明存在关联(金色或青色),70/140(50%)的论文有一个公式被守恒矩阵场统一(青色)。
守恒矩阵场涵盖的完整标准形式列表见表 16。UMAPS 的改进可能会将更多公式(表 17)纳入同一守恒矩阵场。
5.3 超越 π 的公式统一
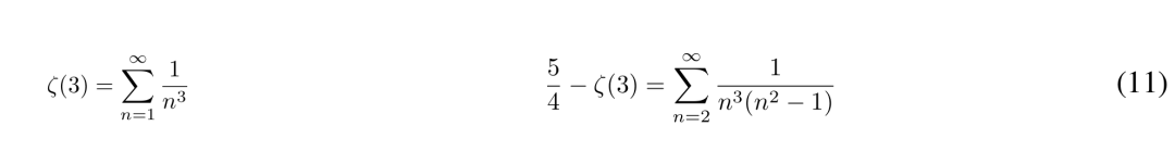
除 π 之外,我们自动识别了 e、ζ(3) 和卡塔兰常数的等价公式 —— 这展示了该方法的通用性。以阿佩里Apéry常数(黎曼 ζ 函数值 ζ(3))的两个公式为例:

第二个公式 [36] 的收敛速度比 ζ(3) 的经典定义更快,尽管两者均为多项式收敛。我们的自动化流程通过上边缘变换证明了它们的等价性,并将其统一在 ζ(3) 的守恒矩阵场中(详见附录 B.2)。
另一个例子是卡塔兰常数的两个多项式连分数 [13],也通过 UMAPS 被证明等价(附录 B.5):

自然的下一步是对其他知名常数以及物理和计算机科学等领域的基本数学结构进行全面搜索。e 的示例见附录 B.3。
5.4 由守恒矩阵场(CMF)生成的公式
我们从 π 的守恒矩阵场中生成了 1693 个独特的 π 公式样本(见附录 C.5)。守恒矩阵场提供了一种新的公式比较方法 —— 使用标准化收敛速度,定义为,其中 r 是式(4)中的收敛速度,t 是轨迹,范数。在我们生成的公式中,57 个具有最佳标准化

相比之下,我们的守恒矩阵场统一的现有最佳公式的标准化收敛速度为 0.88(方向 (1, 1, 2),见表 16)。详见附录 G.6。
图 6:通过守恒矩阵场(CMF)实现的公式统一。从文献中收集的众多 π 公式被自动排列为三维守恒矩阵场中的轨迹,包括高斯、欧拉和布龙克尔勋爵的著名公式。统一公式及其标准形式的完整列表见表 16。每个聚类(大虚线圆圈)表示通过上边缘关联的公式,代表平行轨迹或重叠轨迹。每个聚类中心的数字是该聚类中所有公式的 δ 值。箭头表示轨迹方向。注意,多个公式聚类可能具有相同的 δ 值但并非上边缘相关,这表明 δ 相同是公式上边缘相关的必要条件而非充分条件。
6 讨论
6.1 局限性
目前,收集阶段依赖于 LLM 解释和上下文理解数学 LATEX 字符串的能力,这一阶段可能导致公式分类中的数据丢失和假阴性。提示词工程和验证技术的改进将增强 LLM 应用的稳健性。随着更先进 LLM 的出现,这一阶段将变得更加可靠。
公式中通常包含求和指标以外的其他符号,例如公式周围文本中定义的变量,这些变量应被提取并代入公式求值。我们手动进行了若干此类替换,以测试这些特殊情况下流程的其余部分。未来统一流程的改进可通过更先进的 LLM 应用和自动化验证来解决这一局限性。
本研究分析的大多数公式是级数或连分数。然而,UMAPS 以及收集和聚类过程中的所有其他步骤具有更广泛的适用性(适用于为给定常数生成有理逼近序列的任何公式,例如更高阶递推关系)。扩展系统以适应更多情况是未来工作的一个有前景的方向。
本文展示的统一流程可通过找到相应的守恒矩阵场 [58],应用于源自 D - 有限函数的大量常数。
6.2 展望
增加 π 的守恒矩阵场的维度和秩,以及进一步改进 UMAPS [2],有望在不久的将来提高公式的统一比例。计划中的未来研究将利用守恒矩阵场系统搜索快速收敛和无理性证明公式。
展望未来,这种收集、分析和组织数学知识的方法有助于建立数学不同分支之间的严格关联。本文提出的方法有助于开发更通用的框架,通过数学表示识别不同科学理论之间的关联。随着信息体量的加速增长,找到自动化的知识统一方法将变得越来越重要,尤其是在为复杂概念提供更直观理解的目标下。
将 LLMs 与现有的和新颖的符号及数值数学工具相结合,实现了本文中的自动化发现。我们相信,这种 LLM - 工具集成方案将在未来几年推动人工智能在数学和科学领域的发展。
致谢
本研究得到施密特科学有限责任公司的支持。
原文参考文献
[1] Kunle Adegoke and Olawanle Layeni. The higher derivatives of the inverse tangent function and rapidly convergent BBP-type formulas. arXiv preprint arXiv:1603.08540, 2016.
[2] After this work was accepted, Jakob Obrovsky from the Research Institute for Symbolic Computation (RISC), Johannes Kepler University, proposed a stronger algorithm for finding coboundary equivalences. This algorithm will be published in a future work.
[3] Alberto Alfarano, François Charton, and Amaury Hayat. Global lyapunov functions: a long standing open problem in mathematics, with symbolic transformers. In Advances in Neural Information Processing Systems (NeurIPS), volume 37, pages 93643–93670. Curran Associates, Inc., 2024.
[4] An interactive online demonstration of UMAPS and the matching algorithm is available at the following Google Colab link.
[5] submitters. Kaggle arXiv dataset, 2024.
[6] David Bailey, Peter Borwein, and Simon Plouffe. On the rapid computation of various polylog arithmic constants. Mathematics of Computation, 66, 05 1996.
[7] D.H. Bailey, R. Barrio, and J.M. Borwein. High-precision computation: Mathematical physics and dynamics. Applied Mathematics and Computation, 218(20):10106–10121, 2012.
[8] Daniel Barsky, Vicente Muñoz, and Ricardo Pérez-Marco. On the genesis of BBP formulas. arXiv:1906.09629, 2019.
[9] Itay Beit-Halachmi and Ido Kaminer. The ramanujan library– automated discovery on the hypergraph of integer relations. In International Conference on Learning Representations (ICLR), 2025.
[10] N. Ben David, G. Nimri, U. Mendlovic, Y. Manor, C. De la Cruz Mengual, and I. Kaminer. On the connection between irrationality measures and polynomial continued fractions. Arnold Mathematical Journal, 10(4):529–566, 2024.
[11] Alexander I. Bobenko and Yuri B. Suris. Discrete Differential Geometry: Integrable Structure, volume 98 of Graduate Studies in Mathematics, chapter 6.2. American Mathematical Society, Providence, Rhode Island, first edition, 2008.
[12] Jairo Bochi, Yakov Pesin, and Omri Sarig. Complete regularity of linear cocycles and the baire category of the set of lyapunov-perron regular points. arXiv preprint arXiv:2409.01798, 2024.
[13] David M Bradley. Representations of Catalan’s constant, 2001.
[14] Tom Brown et al. Language models are few-shot learners. In Advances in Neural Information Processing Systems (NeurIPS), volume 33, pages 1877–1901. Curran Associates, Inc., 2020.
[15] D. V. Chudnovsky and G. V. Chudnovsky. The computation of classical constants. Proceedings of the National Academy of Sciences (PNAS), 86(21):8178–8182, 1989.
[16] Abhishek Dhar et al. How archimedes showed that π is approximately equal to 22/7. arXiv:2008.07995, 2020.
[17] Robert Dougherty-Bliss and Doron Zeilberger. Automatic conjecturing and proving of exact values of some infinite families of infinite continued fractions. The Ramanujan Journal, 61: 31–47, 2023.
[18] Pedro Duarte and Silvius Klein. Lyapunov Exponents of Linear Cocycles: Continuity via Large Deviations, volume 3 of Atlantis Studies in Dynamical Systems. Atlantis Press (Zeger Karssen), Paris, first edition, 2016.
[19] Saber Elaydi. An Introduction to Difference Equations. Undergraduate Texts in Mathematics. Springer Nature, New York, third edition, 2006.
[20] Rotem Elimelech, Ofir David, Carlos De la Cruz Mengual, Rotem Kalisch, Wolfgang Berndt, Michael Shalyt, Mark Silberstein, Yaron Hadad, and Ido Kaminer. Algorithm-assisted discovery of an intrinsic order among mathematical constants. arXiv preprint arXiv:2308.11829, 2023.
[21] Rotem Elimelech, Ofir David, Carlos De la Cruz Mengual, Rotem Kalisch, Wolfgang Berndt, Michael Shalyt, Mark Silberstein, Yaron Hadad, and Ido Kaminer. Algorithm-assisted discovery of an intrinsic order among mathematical constants. Proceedings of the National Academy of Sciences (PNAS), 121(25):e2321440121, 2024.
[22] Hasan Ferit Eniser, Hanliang Zhang, Cristina David, Meng Wang, Maria Christakis, Brandon Paulsen, Joey Dodds, and Daniel Kroening. Towards translating real-world code with llms: A study of translating to rust. arXiv preprint arXiv:2405.11514, 2024.
[23] Leonhard Euler. Introductio in analysin infinitorum, volume 2. 1748.
[24] Siemion Fajtlowicz. On conjectures of graffiti. In J. Akiyama, Y. Egawa, and H. Enomoto, editors, Graph Theory and Applications, volume 38 of Annals of Discrete Mathematics, pages 113–118. Elsevier, 1988.
[25] Alhussein Fawzi et al. Discovering faster matrix multiplication algorithms with reinforcement learning. Nature, 610:47–53, 2022.
[26] Helaman R. P. Ferguson, David H. Bailey, and Paul Kutler. A Polynomial Time, Numerically Stable Integer Relation Algorithm. Ames Research Center, 1998.
[27] Luyu Gao et al. PAL: Program-aided language models. In Proceedings of the 40th International Conference on Machine Learning (ICML), volume 202 of Proceedings of Machine Learning Research, pages 10764–10799. PMLR, 23–29 Jul 2023.
[28] Carl Friedrich Gauss. Werke, vol. 3, 1813.
[29] Zhibin Gou, Zhihong Shao, Yeyun Gong, Yelong Shen, Yujiu Yang, Minlie Huang, Nan Duan, and Weizhu Chen. ToRA: A tool-integrated reasoning agent for mathematical problem solving. In International Conference on Learning Representations (ICLR), 2024.
[30] Jesus Guillera. History of the formulas and algorithms for pi. arXiv preprint arXiv:0807.0872, 2008.
[31] Milad Hashemi et al. Can transformers do enumerative geometry? In International Conference on Learning Representations (ICLR), 2025.
[32] Pierre-Alexandre Kamienny, Stéphane d’Ascoli, Guillaume Lample, and François Charton. End-to-end symbolic regression with transformers. In Advances in Neural Information Processing Systems (NeurIPS), volume 35, pages 10269–10281. Curran Associates, Inc., 2022.
[33] Manuel Kauers and Christoph Koutschan. Guessing with little data. In Proceedings of the 2022 International Symposium on Symbolic and Algebraic Computation, ISSAC ’22, page 83–90. ACM, July 2022.
[34] Walter G. Kelley and Allan C. Peterson. Difference equations: An introduction with applications. Harcourt/Academic Press, San Diego, CA, second edition, 2000.
[35] John R. Koza. Genetic programming as a means for programming computers by natural selection. Statistics and Computing, 4:87–112, 1994.
[36] Ernst Eduard Kummer. Eine neue Methode, die numerischen Summen langsam convergirender Reihen zu berechnen. Walter de Gruyter, Berlin/New York, 1837.
[37] L. J. Lange. An elegant continued fraction for π. American Mathematical Monthly, 106: 456–458, 1999.
[38] Aaron Meurer et al. Sympy: symbolic computing in python. PeerJ Computer Science, 3:e103, January 2017.
[39] Victor S. Miller. Use of elliptic curves in cryptography. In Hugh C. Williams, editor, Advances in Cryptology — CRYPTO ’85 Proceedings, pages 417–426, Berlin, Heidelberg, 1986. Springer Berlin Heidelberg.
[40] Alexander Novikov et al. AlphaEvolve: A coding agent for scientific and algorithmic discovery. Technical report, Google DeepMind, May 2025.
[41] OpenAI. GPT-4 technical report. arXiv preprint arXiv:2303.08774, 2023.
[42] ThomasJ.Osler. Lordbrouncker’s forgotten sequence of continued fractions for pi. International Journal of Mathematical Education in Science and Technology, 41(1):105–110, 2010.
[43] Rangeet Pan et al. Lost in translation: A study of bugs introduced by large language models while translating code. In Proceedings of the IEEE/ACM 46th International Conference on Software Engineering, ICSE ’24, New York, NY, USA, 2024. Association for Computing Machinery.
[44] Peter Paule and Carsten Schneider. Creative telescoping for hypergeometric double sums. Journal of Symbolic Computation, 128:102394, 2025.
[45] Marko Petkovsek, Herbert S. Wilf, and Doron Zeilberger. A=B. AK Peters Ltd, 1996.
[46] Gal Raayoni, Shahar Gottlieb, Yahel Manor, George Pisha, Yoav Harris, Uri Mendlovic, Doron Haviv, Yaron Hadad, and Ido Kaminer. Generating conjectures on fundamental constants with the ramanujan machine. Nature, 590, 2021.
[47] Alec Radford, Jeff Wu, Rewon Child, David Luan, Dario Amodei, and Ilya Sutskever. Language models are unsupervised multitask learners. 2019.
[48] Srinivasa Ramanujan. Modular equations and approximations to π. Quarterly Journal of Mathematics 45, 1914.
[49] Ofir Razon, Yoav Harris, Shahar Gottlieb, Dan Carmon, Ofir David, and Ido Kaminer. Automated search for conjectures on mathematical constants using analysis of integer sequences. In Proceedings of the 40th International Conference on Machine Learning (ICML), volume 202 of Proceedings of Machine Learning Research, pages 28809–28842. PMLR, 23–29 Jul 2023.
[50] Bernardino Romera-Paredes, Mohammadamin Barekatain, Alexander Novikov, et al. Mathematical discoveries from program search with large language models. Nature, 625:468–475,2024.
[51] Jean-Pierre Serre and P Ion. Galois Cohomology. Springer Monographs in Mathematics. Springer Berlin / Heidelberg, Berlin, Heidelberg, first edition, 1997.
[52] Michael Shalyt, Uri Seligmann, Itay Beit Halachmi, Ofir David, Rotem Elimelech, and Ido Kaminer. Unsupervised discovery of formulas for mathematical constants. In Advances in Neural Information Processing Systems (NeurIPS), volume 37, pages 113156–113190, 2024.
[53] J. Stoer and R. Bulirsch. Introduction to Numerical Analysis, chapter 2.2. Springer, third edition, 2002.
[54] Zhi-Wei Sun. New series for powers of π and related congruences. arXiv:1911.05456, 2019.
[55] Yiming Tian, Wei Zhou, Matteo Viscione, et al. Interactive symbolic regression with co-design mechanism through offline reinforcement learning. Nature Communications, 16:3930, 2025.
[56] Trieu H Trinh, Yuhuai Wu, Quoc V Le, He He, and Thang Luong. Solving olympiad geometry without human demonstrations. Nature, 625(7995):476–482, 2024.
[57] Mark van Hoeij. Factoring linear recurrence operators, 2019.
[58] Shachar Weinbaum, Elyasheev Leibtag, Rotem Kalisch, Michael Shalyt, and Ido Kaminer. On conservative matrix fields: Continuous asymptotics and arithmetic. arXiv:2507.08138, 2025.
[59] Eric Zelikman, Qian Huang, Gabriel Poesia, Noah Goodman, and Nick Haber. Parsel: Algorithmic reasoning with language models by composing decompositions. In Advances in Neural Information Processing Systems (NeurIPS), volume 36, pages 31466–31523. Curran Associates, Inc., 2023.
[60] Yi Zhou. Algorithms for Factoring Linear Recurrence Operators. PhD thesis, Florida State University, 2022.
[61] Wenhao Zhu et al. Multilingual machine translation with large language models: Empirical results and analysis. In Findings of the Association for Computational Linguistics: NAACL 2024, pages 2765–2781, Mexico City, Mexico, June 2024. Association for Computational Linguistics.
参考资料 |
|---|
https://arxiv.org/abs/2502.17533
https://neurips.cc/virtual/2025/loc/san-diego/poster/117099
https://github.com/RamanujanMachine/euler2ai
https://www.scientificamerican.com/article/mathematicians-find-one-pi-formula-to-rule-them-all/
https://www.pnas.org/doi/10.1073/pnas.2321440121


文章精选:
1.强化学习之父、图灵奖得主 Sutton 隔空回应 图灵奖得主Hinton:目前的 AI “理解不足,调参有余”

