推理提速15倍、成本直降95%!北大系创企端出4B模型,叫板DeepSeek-V3.2

🤖头图由AI生成
智东西(公众号:zhidxcom)
作者 | 王涵
编辑 | 冰倩
智东西3月25日报道,今天,北大系AI编程创企硅心科技(aiXcoder)推出
轻量级模型aiX-apply-4B
,该模型支持
256K
上下文,参数量仅
4B
,
一张消费级显卡即可部署
。
该模型适用于
企业级的代码修改
场景,可自动识别修改意图、定位目标区域、保持原有格式与上下文结构,并将修改后代码应用到原始文件中。
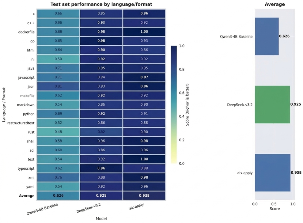
基准测试方面,aiX-apply模型在Python、Java、JavaScript、C++等主流编程语言,以及JSON、Markdown等多类型文件格式的测试中,平均准确率达到
93.8%
,超越
Qwen3-4B基座模型
62.6%
的准确度,甚至高于千亿级大模型
DeepSeek-V3.2
。

▲基准测试对比
在企业级生产环境实测中,aiX-apply模型在
单卡RTX 4090
上即可运行,推理速度每秒可达
2000 tokens
,对比DeepSeek-V3.2则需要在
八卡H200
环境下部署。同一任务场景下,aiX-apply模型算力成本仅为DeepSeek-V3.2的
5%
,推理速度则提升
15
倍。
在技术上,代码合并任务以“复述原文+局部修改”为主,存在大量可复用文本片段,aiXcoder团队引入
自适应投机采样技术
,通过更轻量的机制预判重复片段,压缩了端到端延迟时间。
一、准确性和稳定性均比肩DeepSeek V3.2
在超长代码文件的精确编辑和跨语言环境下的代码理解与生成等场景中,aiX-apply模型都有良好的范式泛化能力。
aiXcoder团队结合真实应用场景设计了泛化性的测评维度,包括随机替换代码边界占位符、处理超长序列代码、在不完整的代码文件中进行局部编辑,以及引入训练数据中占比极低甚至未显式覆盖的编程语言。
结果表明,aiX-apply模型通过专门的强化学习训练,在多维度泛化性测评场景中,其
准
确性和稳定性可以与DeepSeek V3.2比肩
。

▲准确度与稳定性测试对比
二、采用真实企业场景数据训练,设定双重工程约束
aiX-apply模型的训练数据
源自真实企业级场景下的代码提交记录
。在此基础上,aiXcoder团队引入
一致性审计机制
,剔除训练数据中包含模糊上下文或无法推导出修改逻辑的冗余信息,确保“代码片段”与“变更结果”之间存在绝对确定的因果关系。
这意味着模型在训练阶段接触到的都是
“逻辑闭环”的高质量数据
,使其能够精准建立从修改意图到代码应用位置的深度映射。
aiX-apply模型在训练时会基于高性能强化学习框架不断生成代码修改内容,并结合规则化奖励机制进行评测。系统会实时判定修改是否正确、是否越界,再把结果反馈给模型。
通过端到端闭环训练,该模型在“生成-反馈-修正”的在线强化学习中持续
对齐工程约束
,始终在指定区域精准操作,杜绝因“幻觉”而导致的非必要代码改动,提升代码应用的准确性与可靠性。

▲模型架构
为适配代码变更应用这一垂直工程场景,aiX-apply模型设定了
双重核心工程约束
来保证代码合并过程高度可控、结果可预期:
首先是
非副作用约束
,模型仅修改指定改动区域,区域外内容严禁变动;
然后是
安全失败策略
,当代码上下文锚点不唯一、无法准确定位时,模型直接输出空结果,不做猜测性修改,避免污染代码库。
结语:aiX-apply轻量化部署,降低企业落地门槛
aiX-apply模型主打低成本、高性能与易部署,在企业私有化部署与工程化落地中较有优势。
成本方面,该模型单张消费级显卡即可高效运行。其轻量化架构降低了企业使用私有化AI的门槛,便于快速将智能化能力融入研发流程。
研发效率上,aiX-apply支持256K上下文,吞吐量达每秒2000 tokens,可在大规模代码库中完成实时、精准的自动化代码修复与集成。
工程可控性层面,该模型有效减少了AI幻觉引发的错误修改,降低人工审核成本与线上故障概率,能够提升企业研发流程的稳定性与规范性。
