(超)宽禁带半导体材料外延系列(一)——氧化镓材料外延

行研分析

01
背景介绍

随着电子信息技术的持续发展,宽禁带半导体碳化硅(SiC)和氮化镓(GaN)凭借其在高压、高频、高温环境下的卓越性能,已经在新能源汽车、消费电子、AI数据中心、通信射频等多个关键领域实现了规模化应用。随着6G通信、特高压输变电、大规模储能等新应用场景不断涌现,以氧化镓(Ga2O3)、氮化铝(AlN)、六方氮化硼(h-BN),以及金刚石(Diamond)为代表的超宽禁带半导体材料受到全球研究领域与工业应用领域的广泛关注,这类材料具有更高的临界击穿场强、更优异的耐高温、耐辐照特性,在高压功率器件、深紫外光电器件、极端环境电子器件以及量子技术等战略领域展现出巨大的应用潜力和价值。

外延技术是指在单晶支撑衬底(碳化硅、蓝宝石、硅等)上,通过精密调控生长出满足特定功能、形态材料的半导体工艺。这一过程通常采用金属有机化学气相沉积(MOCVD)、分子束外延(MBE)等方法实现。外延层与衬底可为同质材料或异质材料,其厚度通常在纳米级至微米级、甚至更厚。对于半导体材料,外延的核心目的是在衬底基础上构造出满足特定器件需求的单晶薄膜,从而突破衬底材料本身的电学与结构局限性。半导体外延片是制造芯片的基础材料,其质量直接决定后续工艺的可行性与器件的最终性能。外延工艺是衬底材料与器件制备(如光刻、刻蚀、镀膜)的桥梁,若无高质量外延结构,功能型半导体的材料性能优势将无法得到有效发挥。

02
团队介绍

高质量宽禁带半导体材料外延是纳米加工平台的重点发展方向和基础支撑技术,目前已积极布局与完善了(超)宽禁带半导体GaN、AlN、h-BN、Ga2O3、Diamond等相关材料的外延研究与开发保障条件,建立了一支完备的技术研发团队,并累积了丰富的外延工艺技术经验。目前研发团队现有高级职称10人,在读硕博研究生20余人;在国际主流SCI期刊发表科研论文100余篇,授权美国、日本、中国发明专利50余项。

03
平台能力与成果介绍

Ga2O3具有α、β、γ、κ、δ五种同素异形体,其中β-Ga2O3最为稳定,其次是κ和α,目前大部分研究和开发以β-Ga2O3为主。β-Ga2O3禁带宽度为4.9eV,在超高温、强辐射等极端环境下性能稳定,具有高击穿场强、高Baliga优值以及优异的紫外光电特性,在高压大功率器件、日盲紫外探测领域备受关注[1,2]。α-Ga2O3作为氧化镓亚热稳定相,禁带宽度高达5.3eV,临界击穿场强高达10MV/cm,Baliga优值高达6440,是用于制备高性能功率器件的理想半导体材料[2,3]。κ-Ga2O3中心反演不对称晶体结构,理论上具有非常强的压电和铁电特性,使其在射频谐振器件、非易失性铁电存储器件,以及高频大功率电子器件等领域展现出独特的应用潜力。
1、蓝宝石衬底氧化镓异质外延生长
β-Ga2O3属于单斜晶型,由于六方与单斜的对称性不匹配,如图1所示,在常规的c面蓝宝石上的外延生长中会出现六种等效晶格匹配方式,导致薄膜中出现六重旋转畴结构,严重影响外延薄膜的晶体质量。

本团队引入斜切蓝宝石衬底抑制β-Ga2O3的六重畴结构(图2),有效破除了蓝宝石c面的面内对称性[1,2],斜切蓝宝石衬底表面的原子台阶作为原子的优先结合位点,促进了β-Ga2O3晶畴的择优取向,提升了薄膜的晶体质量。并基于c面蓝宝石晶面原子排布方式,如图3所示,优择c面偏m面6°切斜方向,有效增加了台阶密度,进一步抑制原子随机成核,Ga2O3薄膜(-201)面摇摆曲线半高宽由1.3°优化至0.6°[3]。


此外,团队提出纳米颗粒辅助外延技术进一步促进薄膜横向合并(图4),通过控制MOCVD外延工艺参数,在斜切蓝宝石衬底上沉积Ga液滴并热氧化形成Ga2O3单晶纳米颗粒[4],作为薄膜后续生长的形核位点,进一步促进薄膜横向合并,大幅降低薄膜位错密度,270nm β-Ga2O3薄膜(-201)面摇摆曲线半峰宽进一步降低至0.48°。基于此制备的MSM日盲紫外探测器性能显著提升,在-5V下暗电流由0.389μA降至81.03pA,响应速度由258/1690μs提升至62/142μs,并实现了43.5A/W的高响应度、2.81×1014Jones的高探测率与61dB的线性动态范围。机理上,阴极发光结果表明NPSL可有效抑制自陷空穴等深能级缺陷,并使肖特基势垒提高,在牺牲部分光电导增益的同时,获得了更低暗电流、更快响应与更好的线性度。



蓝宝石与α-Ga2O3同属于R-3c空间群,对称性一致,蓝宝石m面沿[0006]轴方向晶格失配仅为3.3%,但是由于α相属于亚稳相,生长过程中容易出现β相混相,严重降低薄膜质量。因此,本团队采用MOCVD方法探索了在m面蓝宝石上α-Ga2O3异质外延形核热力学与表面动力学规律,发现薄膜晶相受相稳定性、界面能、过饱和度的综合调控。在生长过程中,由于螺位错传播到表面诱导β相变,薄膜呈现“层+岛”生长模式特征,导致薄膜表面粗糙度较大。基于此研究,如图7所示,团队开发了高温铝镓氧(AlxGa1-xO)缓冲层技术[10,11],有效缓解了薄膜与衬底的晶格失配,并通过调控薄膜应力状态及螺位错运动方式,有效抑制了岛状凸起形成并改善了薄膜表面质量,最终实现异质外延α-Ga2O3薄膜(30-30)面摇摆曲线半高宽至0.26°,非对称(10-14)面摇摆曲线半高宽为0.38°,薄膜表面粗糙度为2.45nm,为低成本异质外延α-Ga2O3功率器件制备奠定基础。

2、硅衬底氧化镓异质外延生长
Si衬底因具有制备成本低、晶圆尺寸大与CMOS工艺兼容性强等优势,是Ga2O3外延生长最理想的衬底之一,但在Si衬底上外延高质量Ga2O3薄膜面临诸多挑战。首先,Ga2O3外延过程中,高温氧氛围会导致Si衬底氧化并形成SiOx非晶层,使Ga2O3生长初期成核质量降低,导致非晶或多晶结构的形成。其次,Ga2O3与Si衬底之间存在较大的晶格失配和热失配,导致生长的氧化镓薄膜存在极高密度的缺陷。针对以上关键问题,本团队提出并确立了多条可并行开发的缓冲层技术路径:氧化铝(Al2O3)缓冲层、氮化铝(AlN)缓冲层方案以及金属钼(Mo)缓冲层方案。这几类缓冲层的核心设计目标均为在Si衬底与Ga2O3薄膜之间构建兼具氧化抑制、失配缓解与成核调控功能的过渡界面,从而为高质量氧化镓薄膜的生长奠定基础。
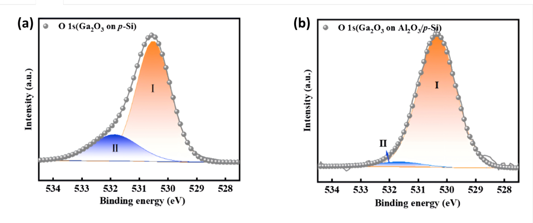
首先,团队基于Si(111)衬底引入PEALD生长的高电阻非晶Al2O3缓冲层在(图8),有效缓解Si与Ga2O3在晶格常数与热膨胀系数上的显著失配所带来的外延应力与缺陷引入问题[12]。同时,高电阻非晶Al2O3在界面处起到隔离与钝化作用,抑制界面反应并避免形成非晶SiO2氧化层,从而降低Ga2O3薄膜的缺陷密度并改善表面形貌。

图8 有无Al2O3缓冲层的Ga2O3薄膜XPS测试结果
此基础上,团队制备并表征了准垂直结构的紫外光电探测器(图9)。与Ga2O3/p-Si器件相比,Ga2O3/Al2O3/Si器件在254nm光照下表现出更优的器件性能,包括超低暗电流99.4pA,光暗电流比超104,在10V固定偏压下响应度为8.1A/W,以及更快的光响应速度(上升/下降时间分别为0.89s/0.29s)。上述结果表明,Al2O3不仅作为缓冲层提升外延质量,同时可作为电子阻挡层优化异质结载流子输运与漏电抑制,为团队后续在低成本Si衬底上构建低漏电、可阵列化与可集成的日盲紫外光电探测器件平台提供了参考路径。

团队基于前期基础进一步研究开发AlN缓冲层技术[13](图10、11),AlN与Ga2O3之间的晶格失配度仅为6.4%,该缓冲层还可以有效抑制Si衬底在高温外延过程中的氧化行为。通过研究生长温度对氧化镓晶相转变的调控作用,确定了κ-Ga2O3薄膜的外延生长温度范围。为进一步提升Ga2O3晶体质量,系统调节MOCVD腔室的O/Ga比、压强等关键生长参数,精确调控薄膜横向和垂直生长速率,促进三维岛状晶粒的横向合并与位错湮灭。在500℃生长温度下κ-Ga2O3薄膜(002)面摇摆曲线半峰宽为0.68°,表面粗糙度Ra仅为0.64nm,4inch Si基κ-Ga2O3薄膜均匀性达98.2%。


图11 Si衬底上Ga2O3薄膜材料生长结果
同时,团队提出在Si(100)衬底上引入Mo金属插入层的外延方案[14](图12),实现了Ga2O3薄膜的异质外延生长,并据此构建了准垂直型Ga2O3日盲紫外探测器。Mo插入层一方面作为过渡缓冲层,有效缓解大失配异质外延带来的成核与缺陷问题,促进薄膜结晶质量提升。另一方面,Mo具有较低的功函数,可与Ga2O3形成良好的欧姆接触,从而简化了器件设计与制备。在器件结构设计上,准垂直架构使电极间距可通过薄膜厚度实现精确调控,进而可通过减小厚度来缩短光生载流子的渡越距离,降低渡越时间对瞬态响应的限制并提升器件速度。如图13所示,最终器件响应时间缩短至22ms,响应度达到243.14A/W。Mo金属缓冲层不仅为Si基Ga2O3高质量外延提供了有效路径,也为器件结构与工艺制备带来了新的设计自由度[15-17]。

图12 Si(100)与Mo(100)面原子结构和有无Mo插入层Ga2O3表面形貌对比

3、蓝宝石衬底氧化镓纳米线外延生长
β-Ga2O3纳米线不仅具有更高的比表面积,能够在界面处提供更丰富的表面态并增强与环境的相互作用,而且其一维载流子通道特性使其在纳米场效应晶体管(FET)、气体传感器与日盲紫外光电探测器等器件中得到了广泛研究[18-23]。面向大规模集成电路应用,纳米线的结构一致性与取向均匀性至关重要,因此实现纳米线阵列的可控生长成为关键问题。
团队首先采用MOCVD技术在c面GaN衬底上开展自催化垂直β-Ga2O3纳米线阵列生长[18](图14),并以较低反应压强构建稳定的气相输运与反应环境。重点优化生长温度、Ga/O等关键参数,以达到纳米线高垂直比例、取向一致的可控窗口。与此同时,团队针对纳米线生长中常见的弯折、形貌异常与阵列不均匀等问题,提出了一种基于团簇迁移性减弱的简化合并模型,在不同生长阶段,催化液滴的稳定性、表面扩散与供给竞争会共同影响纳米线的轴向/径向生长比例与形貌演化。该工作为后续进一步实现有序阵列、提高一致性以及纳米线器件化提供了清晰的机理依据。

图14 不同生长条件下的β-Ga2O3随机纳米线阵列SEM图
接着,团队进一步研究了Ga金属催化剂的沉积时间以及退火工艺对随机纳米线阵列的影响[24](图15)。在随机纳米线阵列生长阶段,阵列密度与均匀性往往受Ga催化液滴的密度、尺寸及其空间分布主导。但仅靠增加沉积量往往会同时改变液滴密度与液滴直径,液滴变大可能增强聚并、改变迁移行为,进而反过来影响最终的纳米线密度与尺寸分布。针对这一矛盾,团队在保持退火条件固定(650℃、1.5min)的前提下,利用退火过程对液滴尺寸进行稳定,再通过调节Ga预沉积时间来改变液滴密度与平均间距,实现对催化剂空间分布的独立控制。实验结果表明,在相同催化剂沉积与退火条件下,Ga液滴在不同表面表现出显著差异,在GaN表面催化剂密度约为6.2个/μm²,而在SiO2表面约为2.5个/μm²,同时Ga液滴的迁移距离在GaN上约680nm-1.4μm,在SiO2上可达500nm-3μm,体现出基底/掩膜表面迁移率差异对催化剂分布与最终纳米线阵列的决定性作用。因此,本团队针对Ga金属在不同基底上的不同迁移率,设计了具有有序纳米孔阵列的SiO2掩膜(孔径200nm、周期500nm),以控制催化剂的沉积,在合适的催化剂沉积与退火条件下实现了掩膜表面无多余Ga液滴、纳米孔内单孔单液滴且无明显溢出,填充率100%的纳米孔阵列样品,实现了垂直于衬底的有序β-Ga2O3纳米线阵列制备。

图15 In辅助外延生长β-Ga2O3薄膜的模型示意图和有无In辅助外延生长的β-Ga2O3表面形貌
4、Beta氧化镓薄膜同质外延生长
目前β-Ga2O3自支撑单晶衬底可以达到八英寸晶圆,但β-Ga2O3薄膜的同质外延一直面临着生长速率慢、易产生条纹沟壑形貌、粗糙度大等问题,这与其次氧化物Ga2O的解吸附和Ga2O3表面能各向异性相关。在外延生长过程中,Ga原子与沉积的Ga2O3发生刻蚀反应,生成气源性Ga2O(反应式(1)和(2)),同时薄膜的生长与刻蚀反应相互竞争,表面能和原子扩散能力的各向异性导致具有[010]取向性的条纹状沟壑形成,导致薄膜表面起伏显著,粗糙度陡然增大。除此之外,目前β-Ga2O3薄膜的n型掺杂受限,高浓度的掺杂如欧姆接触的实现通常都采用高剂量的Si离子注入,产生较大的损伤。因此,实现β-Ga2O3薄膜的生长模式调控及可控的原位Si掺杂具有重要意义[25-28]。

为抑制β-Ga2O3同质外延薄膜表面沟槽状形貌[27],本团队在MOCVD中引入了In的金属有机物前驱体源作为活性剂辅助外延(图16),在原子沉积过程中形成解吸附能更大的InGaO(Ga2O:3.38eV;InGaO:3.7eV),抑制Ga2O的解吸附过程,提升了β-Ga2O3薄膜的生长速率。同时生长过程中通入In元素可以促进二维层状生长模式,稳定材料生长时的表面热波动,消除了常规外延产生的沟壑形貌,实现了相对光滑的β-Ga2O3薄膜同质外延,薄膜表面粗糙度由24.7nm显著降低至2.2nm。In辅助外延法也会产生少量的热稳定窗口较窄的In2O3,但是由于β-Ga2O3吉布斯自由能更低(δGf β-Ga2O3=-998.3kJ/mol;δGf In2O3=-830.7kJ/mol),更加稳定,生长过程中Ga原子会与In2O3中In发生置换反应(反应式(4)),消除薄膜中大部分In杂质,从而提高薄膜纯度。同时对薄膜SIMS测试和HRXRD测试发现,In掺杂元素在薄膜中含量约为7.05 × 1016cm-3,仅在界面处由于元素富集作用含量较高,因此对薄膜摇摆曲线半高宽没有显著影响。


图16 In辅助外延β-Ga2O3薄膜的模型示意图和有无In辅助外延β-Ga2O3薄膜表征结果
在此外延基础上,本团队进行了β-Ga2O3同质外延薄膜n型可控掺杂研究[29]。我们在MOCVD腔室内原位引入SiH4进行Si施主掺杂。首先,研究发现适量SiH4的引入可以显著改变β-Ga2O3薄膜生长模式,如图17所示,当Si原子进入β-Ga2O3的生长体系后,Si原子在材料表面随机成核,Ga吸附原子围绕Si成核点进行横向扩散及合并,在二维岛平面内拓展,与吸附原子的向上堆叠式生长相互竞争,从而抑制三维岛的长大,消除了因横向迁移不足导致的空洞形貌,优化了薄膜表面形貌。SiH4摩尔流量为2E17/cm3时,β-Ga2O3表面粗糙度降至1.07 nm。

图17 Si掺杂β-Ga2O3薄膜的模型示意图和有无Si掺杂外延β-Ga2O3表面形貌
进一步优化生长和掺杂条件,对掺杂后的样品进行原位退火激活并进行C-V和SIMS测试,如图18所示,掺杂后β-Ga2O3薄膜n型载流子浓度在1015-1020cm-3范围内可控,且Si施主激活效率>60%。对掺杂浓度为1.64×1020cm−3的外延薄膜进行电子束蒸发,在薄膜表面沉积50nm和100nm Ti/Au金属,N2氛围下475℃进行1min欧姆接触退火,电学测试β-Ga2O3薄膜表现出良好的欧姆接触特性,接触电阻为3.73Ω·mm,方块电阻为1084Ω/□,比接触电阻率低至1.29×10-4Ω·cm2,与Si注入样品的电学特性相当,表明在β-Ga2O3薄膜中实现了可控有效的Si掺杂。最后,通过范德堡霍尔测试得到薄膜迁移率为74.6cm2/V·s,满足横向增强型和耗尽型功率器件制备需求[30]。

图18 Si掺杂β-Ga2O3薄膜电学性能

04
外延相关设备介绍

纳米加工平台自创立之初便重点投入化合物半导体材料外延及器件研发,拥有多台国际领先的商业化宽禁带半导体材料外延MOCVD设备,包括德国AIXTRON、日本TAIYO NIPPON SANSO III-Nitride化合物、III-Oxide化合物MOCVD系统和金刚石材料外延生长的MPCVD设备。同时配备有高分辨X射线衍射仪、扫描电子显微镜、原子力显微镜、光学显微镜及霍尔测试仪等材料表征与测试设备,可在平台超净间完成材料外延生长、测试表征,以及器件制备等全流程半导体芯片工艺。

图19 加工平台各类生长及表征设备介绍

05
委托加工与技术合作

纳米加工平台是开放式对外公共服务平台,欢迎企业高校、科研院所的优秀研发团队来纳米所加工平台合作交流,我们可提供各类宽禁带半导体材料及器件结构的委托加工业务,同时也期待与客户合作开展各类研发任务。

[2] Ma Y J, et al. Effect of off-axis substrate angles on β-Ga2O3 thin films and solar-blind ultraviolet photodetectors grown on sapphire by MOCVD [J]. Materials Science in Semiconductor Processing, 2021, 131: 105856.
[3] Ma Y J, et al. Mis-cut direction of substrate effect on the photoresponse characteristic of β-Ga2O3 film [J]. Vacuum, 2022, 198: 110886.
[4] Chen T W, et al. High-speed and ultrasensitive solar-blind ultraviolet photodetectors based on in situ grown β-Ga2O3 single-crystal films [J]. ACS Applied Materials & Interfaces, 2024, 16(5):6068-6077.
[5] He T, et al. Metalorganic chemical vapor deposition heteroepitaxial β-Ga2O3 and black phosphorus p-n heterojunction for solar-blind ultraviolet and infrared dual-band photodetector [J]. Physica Status Solidi A–Applications and Materials Science, 2020, 217: 1900861.
[6] Chen T W, et al. Ultrahigh responsivity β-Ga2O3/BP junction field effect phototransistors for UV/IR dual-band detection [J]. IEEE Sensors Journal, 2023, 14(14):15504-15511.
[7] Ma Y J, et al. High photoresponsivity self-powered a-, ε-, and β-Ga2O3 /p-GaN heterojunction UV photodetectors with an in-situ GaON layer by MOCVD [J]. ACS Applied Materials & Interfaces, 2022, 14(30): 35194-35204.
[8] Chen T W, et al. Self‐powered and spectrally distinctive nanoporous Ga2O3/GaN epitaxial heterojunction ultraviolet photodetectors [J]. Advanced Photonics Research, 2021, 2(8): 2100049.
[9] Zhou X, et al. Band alignment of ultrawide bandgap ε-Ga2O3/h-BCN heterojunction epitaxially grown by metalorganic chemical vapor deposition [J]. Applied Surface Science, 2022, 583: 152502.
[10] Li Z C, et al. Improving the quality of MOCVD-Grown α-Ga2O3 by introducing an AGO buffer on m-plane sapphire [J]. Vacuum, 2025, 240: 114445.
[11] Li Z C, et al. Suppression of screw dislocation-Induced Hillocks in MOCVD-Grown α-Ga2O3 on m-plane sapphire by introducing a high-temperature buffer [J]. Crystal Growth & Design, 2025, 25(5): 1406-1414.
[12] Qian H, et al. Quasi-vertical ε-Ga2O3 solar-blind photodetectors grown on p-Si substrates with Al2O3 buffer layer by metalorganic chemical vapor deposition [J]. Vacuum, 2022, 200: 111019.
[13] Hu Y, et al High-performance ε-Ga2O3 solar-blind ultraviolet photodetectors on Si (100) substrate with molybdenum buffer layer [J]. Vacuum, 2023, 213: 112130.
[14] Hu Y, et al. Effects of growth temperature on phase transformation and crystal quality of Ga2O3 films grown on Si/AlN composite substrates by MOCVD [J]. Materials Science in Semiconductor Processing, 2024, 178: 108453.
[15] Hu Y, et al. Wafer-scale high-performance flexible solar-blind ultraviolet photodetectors based on a-Ga2O3 grown by MOCVD [J]. Journal of Materials Science & Technology, 2026, 259: 188–196.
[16] Chen T W, et al. Ultrasensitive dynamic ultraviolet imaging based on a Ga2O3 photodetector array [J]. Optics Letters, 2025, 50(5):1633-1636.
[17] Zhang H Y, et al. High-speed and high-responsivity quasi-vertical Schottky photodetectors of epitaxial Ga2O3 on Pt substrate [J]. IEEE Electron Device Letters, 2025, 46(1): 60-63.
[18] Cao X, et al. Controllable Ga catalyst deposition on GaN template and fabrication of ordered vertical β-Ga2O3 nanowire array [J]. Journal of Physics D: Applied Physics, 2020, 53(30).
[19] Zeng C H, et al Solar-blind ultraviolet detector based on ordered nanoporous β-Ga2O3 film [J]. Japanese Journal of Applied Physics, 2022, 61(4): 042004.
[20] Ma Y J, et al. Controlled lateral epitaxial growth in vertical β-Ga2O3 nanowires on sapphire by MOCVD [J]. Journal of Physics D: Applied Physics, 2021, 54: 305101.
[21] Zhou X, et al. Ultrahigh responsivity deep-ultraviolet ε-Ga2O3 field effect phototransistors with P-Si gate [J]. Journal of Physics D: Applied Physics, 2021, 54(44): 445103.
[22] Zeng C H, et al. Ultraviolet photodetector based on vertical β-Ga2O3 nanowire array on GaN substrate [J]. Materials Research Express, 2021, 8(5): 055903.
[23] Cao X, et al. Crystalline properties of ε-Ga2O3 film grown on c-sapphire by MOCVD and solar-blind ultraviolet photodetector [J]. Materials Science in Semiconductor Processing, 2021, 123: 105532.
[24] Li J S, et al. Self-catalyzed metal organic chemical vapor deposition growth of vertical β-Ga2O3 nanowire arrays [J]. Nanotechnology, 2020, 31: 02LT01.
[25] Li B T, et al. A comprehensive review of recent progress on enhancement-mode β-Ga2O3 FETs: Growth, devices and properties [J]. Journal of Semiconductors, 2023, 44(6): 061801.
[26] ] Bian C X, et al. Effect of RF power and gas ratio on the sidewall of β-Ga2O3 films via inductively coupled plasma etching [J]. Japanese Journal of Applied Physics, 2023, 62(1): 011004.
[27] Feng B Y, et al. The effect of annealing on the Sn-doped (−201) β-Ga2O3 bulk [J]. Materials Science in Semiconductor Processing, 2022, 147: 106752.
[28] Tang W B, et al. High-quality (001) β-Ga2O3 homoepitaxial growth by metalorganic chemical vapor deposition enabled by in situ indium surfactant [J]. Applied Physics Letters, 2022, 120(21): 212103.
[29] Tang W B, et al. Homoepitaxial growth of (100) Si-doped β-Ga2O3 films via MOCVD [J]. Journal of Semiconductors, 2023, 44(6): 062801.
[30] Li B T, et al. Enhancement-mode Ga2O3 FETs with an unintentionally doped (001) β-Ga2O3 channel layer grown by metal organic chemical vapor deposition [J]. Japanese Journal of Applied Physics, 2024, 63(7): 070901.


