宋尔卫院士团队最新论文:国产ADC新药,安全有效治疗乳腺癌等多种晚期实体瘤


撰文丨王聪
编辑丨王多鱼
排版丨水成文
SHR-A1811(瑞康曲妥珠单抗,商品名为艾维达),是恒瑞医药子公司苏州盛迪亚生物医药自主研发的一种抗体偶联药物(ADC),其由抗 HER2 单抗曲妥珠单抗通过可裂解连接子与拓扑异构酶 I 抑制剂有效载荷偶联而成,在接受过大量治疗的 HER2 表达或突变的晚期实体瘤患者中表现出显著的抗肿瘤活性。
2026 年 3 月 19 日,中山大学孙逸仙纪念医院宋尔卫院士团队在 Signal Transduction and Targeted Therapy 期刊发表了题为:SHR-A1811, a novel HER2-targeting antibody-drug conjugate, in advanced solid tumors (HORIZON-X): a global phase 1 trial 的临床研究论文。
在这项全球多中心、首次人体 1 期临床试验结果显示,SHR-A1811 在已经过大量前期治疗的晚期实体瘤(乳腺癌、胆道癌、尿路上皮癌)患者中具有长期疗效和良好的安全性,强化了其作为有效的 HER2 靶向治疗药物的潜力。

人类表皮生长因子受体-2(HER2)是一种关键的酪氨酸激酶受体,对细胞增殖、分化和存活所涉及的多种信号通路发挥着至关重要的调节作用。HER2 的异常激活与多种实体瘤的发病机制有关,使其成为重要的癌症治疗靶点。
近年来,随着靶向 HER2 的多种药物(包括单克隆抗体、酪氨酸激酶抑制剂和抗体偶联药物)获得临床批准,用于治疗 HER2 过表达或突变的实体瘤(主要是乳腺癌),取得了重大进展。抗体偶联药物(ADC)是一种不断发展的治疗策略,它将单克隆抗体的靶向特异性与化疗药物的细胞毒性相结合,为选择性地向 HER2 突变或过表达的癌细胞递送强效药物,提供了一种靶向方法。
抗 HER2 ADC 领域的一项开创性进展是德曲妥珠单抗(T-DXd)的开发,它由靶向 HER2 的单克隆抗体曲妥珠单抗与一种强效的拓扑异构酶 I 抑制剂偶联而成。T-DXd 已获批用于治疗经过大量治疗的不可切除或转移性 HER2 阳性或低表达乳腺癌、HER2 突变的非小细胞肺癌、HER2 阳性胃癌或胃食管交界腺癌以及不可切除或转移性 HER2 阳性实体瘤患者。这是 HER2 靶向治疗从乳腺癌扩展到非乳腺癌领域的一个重要里程碑。
尽管取得了这些进展,ADC 治疗领域仍存在挑战和局限性。一个值得注意的问题是 ADC 相关间质性肺病的潜在风险,这可能危及生命。此外,耐药机制的出现是实现各种实体瘤持久响应的一个重大障碍。解决这些局限性对于优化抗 HER2 ADC 的临床应用至关重要。
SHR-A1811(瑞康曲妥珠单抗)是一种新型 ADC 药物,由靶向 HER2 的曲妥珠单抗通过可裂解连接子与拓扑异构酶 I 抑制剂有效载荷 SHR169265 偶联而成。临床前研究显示,SHR169265 的膜通透性和细胞杀伤效力优于德曲妥珠单抗(T-DXd)中所使用的有效载荷。此外,SHR-A1811 能够持续抑制 HER2 依赖性肿瘤生长,具有增强的旁观者效应和出色的稳定性,有效载荷释放率低于 1%。药抗比为 6 的适中水平以及循环中释放的极少量毒素共同表明了 SHR-A1811 良好的安全性。在局部晚期或早期 HER2 阳性乳腺癌的新辅助治疗以及晚期非小细胞肺癌的二线治疗中,SHR-A1811 已显示出令人鼓舞的疗效和良好的安全性特征,目前有多项正在进行的临床试验正在探索其在更广泛肿瘤适应症中的治疗潜力。
在这项全球多中心、首次在人体中进行的、1 期临床试验中,研究团队在 38 家医院招募了年龄 ≥18 岁、患有不可切除、晚期或转移性 HER2 表达或突变的实体瘤且对标准疗法耐药或不耐受的患者。SHR-A1811 以 1.0 至 8.0 毫克/千克的剂量,每三周静脉给药一次。主要终点包括剂量限制性毒性、安全性和推荐的 2 期临床试验剂量。
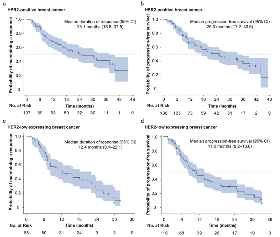
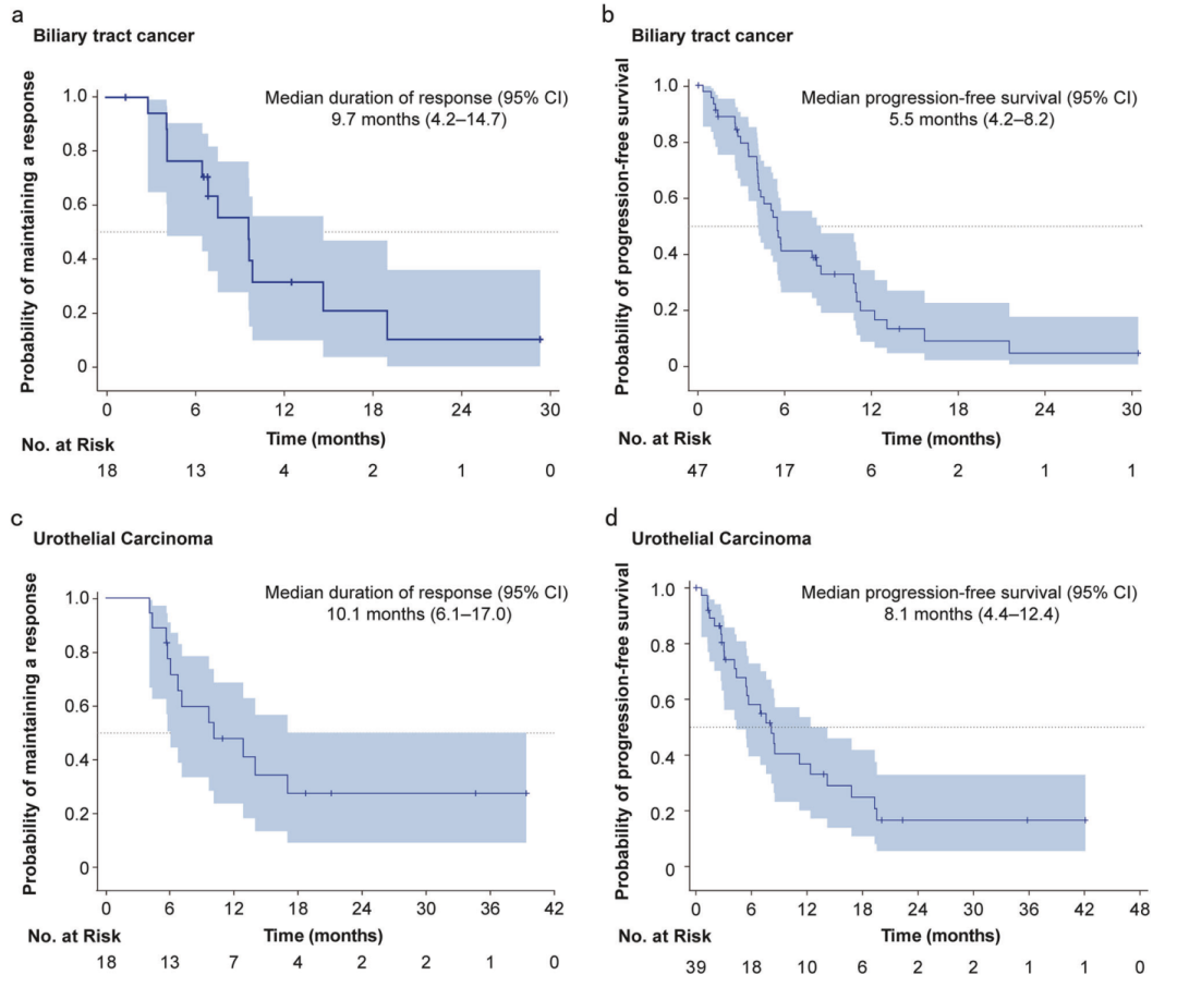
从 2020 年 9 月 7 日至 2024 年 6 月 4 日,共 396 名患者接受了 SHR-A1811 治疗,这些患者此前都已接受过 2-4 种治疗方案。截至 2025 年 3 月 12 日,HER2 阳性乳腺癌患者的中位随访时间为 17.1 个月,HER2 低表达乳腺癌患者为 10.6 个月,非乳腺癌患者为 4.3 至 8.2 个月。安全性特征与之前的报告一致。261 名患者(65.9%)出现了 3 级或更高级别的治疗相关不良事件,10 名患者(2.5%)出现了任何级别的间质性肺病。HER2 阳性乳腺癌患者的中位无进展生存期为 25.0 个月,HER2 低表达乳腺癌患者的中位无进展生存期为 11.0 个月,非乳腺肿瘤患者的的中位无进展生存期为 3.5 至 17.2 个月。

乳腺癌患者无进展生存期和缓解持续时间

非乳腺癌患者的无进展生存期和缓解持续时间
总的来说,这项首次人体 1 期临床试验的最终分析,再次证实了 SHR-A1811 作为治疗 HER2 表达和 HER2 突变实体瘤患者的高效且安全的治疗选择的潜力。良好的安全性,加上在多种实体瘤中令人鼓舞的疗效,使 SHR-A1811 成为 HER2 靶向治疗的有希望的替代方案。
https://www.nature.com/articles/s41392-026-02612-9




点在看,传递你的品味




