蜂蜜,真的有益健康吗?多项研究:蜂蜜能降低体重,改善身体功能与情绪,但每日摄入>10g可能升高收缩压、空腹血糖等


打开各类社交媒体,我们总能看到各种关于“蜂蜜”的分享:有人坚持每天一杯蜂蜜水,坚信它能排毒养颜、助减肥,是女性的必备神器;也有人认为蜂蜜更为“天然”,无论泡水还是调味,肯定比喝奶茶、吃添加糖要健康得多。但也有人在评论区哀嚎:我喝了一个月蜂蜜,不但没瘦,血糖还高了!
这场关于蜂蜜的“口水战”从未停歇。超市货架上,从几十块到几百,甚至上千元的蜂蜜琳琅满目,商家们打着“天然”、“健康”的旗号,让消费者心甘情愿地掏腰包。毕竟,谁不想在享受甜蜜的同时还能收获健康呢?
但问题来了:蜂蜜到底能不能减肥?它对我们的身体究竟做了什么?是减肥神器还是甜蜜陷阱呢?
今天,我们就用三篇硬核的科学研究,带你揭开蜂蜜的神秘面纱。
蜂蜜里的蛋白质,竟是减肥的秘密武器
先来说说好消息。你可能不知道,蜂蜜里除了糖,还有一种被长期忽视的成分——蜂蜜蛋白。2025年发表在《Journal of Medicinal Food》上的一项动物研究,首次揭开了这些蛋白质的神秘面纱。

研究人员从刺槐蜜中提取出蛋白质,然后用这些蛋白质去“考验”24只雄性大鼠。这些“志愿者大鼠”先被分成两组:一组吃正常饮食,另一组吃高脂饮食,为期四周。随后,每组再被分成两个小组,分别接受蜂蜜蛋白质注射或生理盐水注射,再持续四周。

图:ND、HFD以及使用蜂蜜蛋白和生理盐水处理对大鼠热量摄入和体重的影响1
实验结果令人惊叹。如上图所示,在高脂饮食的摧残下,大鼠们的体重直线飙升。但当它们开始接受蜂蜜蛋白质注射后,情况发生了戏剧性的变化——无论是正常饮食还是高脂饮食组,只要接受了蜂蜜蛋白质注射的大鼠,体重增长都显著低于注射生理盐水的对照组。例如:正常饮食+盐水组的大鼠体重增加了41.0克,而正常饮食+蜂蜜蛋白质组只增加了26.9克,足足少了52%。更夸张的是高脂饮食组:注射盐水的大鼠胖了60.4克,而注射蜂蜜蛋白质的仅仅增加了19.9克,减少了超过三倍。
神奇的是,这些大鼠吃得并不少,它们的热量摄入甚至略高于对照组,但就是“长不胖”。这就引出了一个关键问题:它们吃得多,为什么长得少?
答案是:能量效率发生了根本性改变。研究者计算发现,正常饮食+盐水组的大鼠,每增加1克体重需要消耗36.6千卡能量,而正常饮食+蜂蜜蛋白质组需要59.3千卡,增加了62%。高脂饮食组的对比更为惊人:从24.2千卡飙升到79.2千卡,增加了三倍多!这意味着,蜂蜜蛋白质可能提高了大鼠的基础代谢率,让它们消耗了更多能量。
但这还不是全部。如下图所示,蜂蜜蛋白质还显著改善了大鼠的血脂状况。正常饮食组中,注射蜂蜜蛋白质的大鼠甘油三酯从129.3 mg/dL降到了103.7 mg/dL;高脂饮食组中,更是从189.8 mg/dL骤降到98.3 mg/dL,降幅接近一半!血糖方面,正常饮食组也有明显改善。

图:正常饮食(ND)、高脂饮食(HFD)及蜂蜜蛋白(HP)对大鼠血清总胆固醇(A)、甘油三酯(B)和葡萄糖(C)水平的影响
为了探究背后的分子机制,研究人员检测了脂肪组织中三个关键基因的表达情况。分析结果显示,蜂蜜蛋白质显著增加了脂肪酸结合蛋白(FABP)、脂肪酶C(LIPC)和载脂蛋白A-1(APOA1)这三个基因的表达。简单来说,这些基因就像是身体里的“燃脂开关”,被蜂蜜蛋白质激活后,促进了脂肪的分解和代谢。
研究人员推测,蜂蜜中的这些神奇蛋白质很可能是蜂王浆中的主要蛋白质(MRJPs)。蜂王浆之所以能让蜂王拥有远超工蜂的寿命和繁殖能力,靠的就是这些蛋白质。现在,它们在大鼠身上展现出了惊人的减肥效果,为未来的肥胖治疗提供了全新思路。
当然,这还是个开始,研究人员承认,还需要更多研究来确定具体是哪种蛋白质在起作用,以及它们能否在人类身上产生同样的效果。
蜂蜜还能改善情绪
如果你觉得动物实验离你太远,那再来看看一项在人身上做的研究。

2024年欧洲公共卫生会议上,匈牙利研究人员报告了一项有趣的临床试验。45名健康志愿者连续三周,每天吃“特殊蜂蜜”搭配酸奶——其中一组吃的是给蜜蜂喂食沙棘提取物后酿的蜜,另一组吃的是给蜜蜂喂食青核桃提取物后酿的蜜,对照组则吃普通刺槐蜜。
实验结果显示:沙棘蜂蜜组在第三周后出现了显著变化——身体机能改善、焦虑-抑郁情绪减轻、综合身体状况从84.1分提升到88.7分。绿核桃蜂蜜组同样收获满满:EQ5D综合生活质量提升、整体生活质量功能从90.6分飙升到99.2分。而对照组,即普通刺槐蜜组却什么变化都没有。
这一结果表明:蜂蜜的益处,可能不仅仅来自蜂蜜本身,还与蜜蜂采集的植物来源密切相关。不同的植物提取物,赋予了蜂蜜不同的“附加值”。沙棘蜜里的活性成分,可能对情绪调节有特殊作用;青核桃蜜里的某些物质,则可能对整体健康感有积极影响。
由此,这项研究也打开了蜂蜜研究的新思路:我们可以不再满足于天然蜂蜜,而是可以通过调控蜜蜂的饮食,让它们成为“微型工厂”,生产出针对特定健康问题的功能性蜂蜜,如“抗焦虑蜂蜜”、“助眠蜂蜜”、“增强免疫力蜂蜜”,这确是好上加好噢!
但请别高兴太早,蜂蜜也有“副作用”!
每日摄入蜂蜜不要>10g
2025年发表在《Nutrition and Diabetes》上的一项重磅研究,给了蜂蜜爱好者一记清醒剂。

这是一项针对现有所有系统评价和荟萃分析的再分析,涵盖了69项随机对照试验,涉及3544名参与者,数据量可谓巨大,结论相当可靠。研究团队用最严格的GRADE标准评估了证据质量。结果发现:蜂蜜对健康的影响,是一把双刃剑!
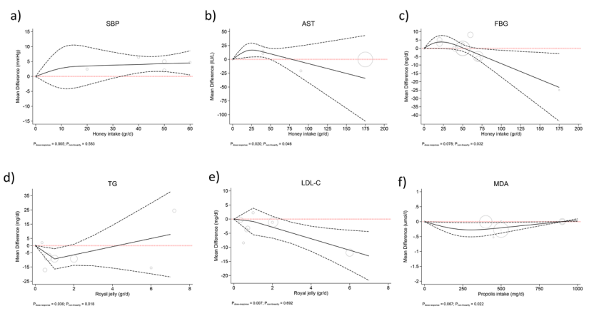
先说好的方面:每天10克(大约半汤匙)蜂蜜,可以降低糖化血红蛋白(HbA1c),这是一个反映长期血糖控制水平的关键指标。对于血糖偏高的人来说,这算是个好消息。但坏消息接踵而至——同样是蜂蜜,在超过一定剂量后,会升高收缩压、空腹血糖、甘油三酯,还会增加肝脏转氨酶(AST)和炎症标志物(hs-CRP)。
具体数据显示:
每天10克蜂蜜,HbA1c降得最明显;
但每天20克,空腹血糖就开始往上走;
每天25克左右,肝脏转氨酶达到峰值;

图:蜂蜜、蜂王浆和蜂胶对心血管代谢生物标志物影响的成对分析3
此外,研究人员还分析了蜂王浆和蜂胶的效果。结果发现,这两种蜂产品的表现,比蜂蜜更稳定、更亮眼——蜂王浆能显著降低血压、改善血脂(总胆固醇、甘油三酯、低密度脂蛋白),还能提高总抗氧化能力;蜂胶则在多个维度上全面开花:减轻体重、降低体脂率、改善血糖(空腹血糖、餐后2小时血糖、胰岛素、HbA1c、胰岛素抵抗)、抗炎(降低IL-6、TNF-α、MCP-1)、抗氧化(提高TAC、GSHPx)、保护肝脏(降低AST、ALT)。

图:蜂蜜及其衍生物对心血管代谢结果的非线性剂量反应分析3
研究人员解释道,普通蜂蜜之所以表现不佳,主要是因为它的主要成分是糖(果糖和葡萄糖占95%)。特别是果糖,能绕过糖酵解的关键调控步骤,直接促进脂肪合成,导致高甘油三酯血症。而蜂王浆中的10-H2DA和类胰岛素物质,以及蜂胶中的类黄酮和多酚类化合物,才是真正的“健康功臣”。
小结
综合三篇研究,蜂蜜的健康真相还是比较复杂的:
好消息是:蜂蜜中的蛋白质(尤其是蜂王浆中的MRJPs)在动物实验中展现出了惊人的减肥潜力——激活“燃脂基因”、提高代谢率、降低甘油三酯;而特定植物来源的蜂蜜(如沙棘蜜、青核桃蜜),还能改善情绪、提升生活质量。
但坏消息更值得警惕:普通蜂蜜的主要成分依然是糖(95%的果糖和葡萄糖)。每天超过10克(约半汤匙),就会开始“反噬”——升高血糖、血脂、血压,增加肝脏负担和炎症水平。所谓的“蜂蜜比添加糖健康”,在身体代谢面前,其实站不住脚。
所以说,蜂蜜虽好,但还是要看品质+吃对量呢~
参考文献:
1.Gohar A, et al. Natural Honey Proteins Prevent Diet-Induced Obesity and Metabolic Disorders in Rats. Journal of Medicinal Food, 2025.
2.Hajzer ZE, et al. Beneficial clinical effects of honey from bees fed with specific plant extracts.European Journal of Public Health, 2024.
3.Norouzzadeh M, et al. Dosage exploration of the effects of honey and its derivatives on cardiometabolic outcomes: an overview of systematic reviews and GRADE-assessed updated meta-analysis. Nutrition and Diabetes, 2025.
撰文 | 之予
编辑 | lcc


点击下方「阅读原文」,前往生物谷官网查询更多生物相关资讯~
