久坐伤身,但坐着时抬抬脚后跟,有奇效!两项研究:通过运动比目鱼肌,可以有效降低餐后血糖、血脂,以及体内炎症水平


你每天坐几个小时?
如果答案是“7-8小时起步”,那么恭喜你,你已是名副其实的“久坐族”!
众所周知,久坐的代价,可不只是腰酸背痛,餐后血糖上升、血脂上升、代谢下降等等这些慢性问题,也会悄悄找上门。
但是很多时候,久坐是我们难以避免的,那有没有一种方法,坐着就能使我们更健康?这听起来像天方夜谭。毕竟,传统观念告诉我们,要消耗糖和油,得动起来,得喘气,得流汗。
可科学家们发现,我们小腿深处有一块叫比目鱼肌的肌肉,它天生就是“耐力冠军”,占体重仅1%,却能在你坐着时,持续高功率工作好几个小时,而且几乎不靠肌糖原。通过做一种叫“比目鱼肌俯卧撑”(Soleus Push-Up, SPU)的简单动作,可以让人在不站起来、不喘气的情况下,把餐后血糖削掉一半,把坏胆固醇拉下来,甚至让身体里的炎症水平都大幅下降!
这么“懒人”却高效的运动是不是有点心动了?!
比目鱼肌的“高代谢秘密”
首先,我们先来了解一下主角——比目鱼肌,其位于小腿后侧,紧贴小腿骨,藏在腓肠肌(也就是我们俗称的“小腿肚”)的深层。它是一类以慢肌纤维为主的肌肉,纤维密度高、线粒体丰富、血供充沛,天生擅长直接利用血液中的葡萄糖和脂肪酸来供能,而不是像快肌那样依赖有限的肌糖原储备,这也是它为什么能“干活不累”的生物学基础。

腿部比目鱼肌图示(图片来源自Netter’s Atlas of Human Anatomy)
为了验证这块小肌肉到底有多大本事,研究者招募了不同年龄(22–82岁)、不同体重指数、不同运动习惯的男女志愿者。这些人的日常平均坐姿时间高达10.7小时/天,很多人几乎没有规律运动的习惯。换句话说,他们就是你我身边的“普通久坐族”。

实验分两部分:
实验一:10名志愿者在坐姿下做270分钟(4.5小时)的比目鱼肌俯卧撑(SPU),同时监测全身耗氧量、肌肉糖原变化,并用MRI和肌电图确认是比目鱼肌在工作。
实验二:15名志愿者在喝下75克葡萄糖后的3小时内,分别做两种强度的SPU(SPU1较低,SPU2较高),并与“坐着不动”的状态对比,全程采血测血糖、胰岛素、C肽和血脂。
PS:比目鱼肌俯卧撑步骤
1. 坐在椅子上,双脚平放在地面,与肩同宽。保持背部挺直,脚趾和脚掌的前部都稳稳贴住地面。
2. 脚跟离地,用大约1-2秒的时间匀速向上抬起,直到感觉小腿后方有轻微拉伸感。重点是整个过程中脚趾要始终固定在地面上,不要翘起。
3. 同样用1-2秒的时间,让脚跟缓慢、有控制地落回地面。
4. 稳定节奏重复这个循环。

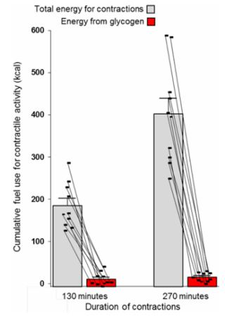
图:在腓肠肌进行SPU收缩的长时间局部活动期间,腓肠肌糖原对收缩总能量(即活动能量消耗)的贡献微乎其微
当参与者们按照研究设计进行比目鱼肌俯卧撑(SPU)后,一系列令人意外的生理变化逐渐显现。首先是关于肌肉耐疲劳性的发现:
在长达270分钟(4.5小时)的持续收缩中,没有一个人感到明显的疲劳或酸痛,更没有人中途放弃。为了探明原因,研究者对比了活动前后的肌肉活检样本。
结果如上图所示:比目鱼肌的糖原仅减少了22 mmol/kg。折算下来,这部分糖原燃烧所提供的能量只占整个活动期总能耗的4%。换句话说,这块小肌肉几乎不消耗自己的“库存”(肌糖原),而是直接从血液中调用葡萄糖和脂肪酸来“发电”,这也解释了为什么参与者可以连续做四五个小时的SPU而不觉得累。(大家可以尝试边看手机边做SPU,认真看完全文看看会不会累)。

图:静坐和跑步机运动时SPU收缩带来的全身和局部氧化代谢情况
更让人惊讶的是,虽然全身的能量消耗增加不多(约1.3−2.0 METs),但比目鱼肌的局部代谢率却高得惊人!研究者通过MRI精确测量了每位受试者比目鱼肌的质量(平均双侧总和约1.07 kg),再结合全身耗氧量计算出:在SPU过程中,比目鱼肌的局部耗氧量达到了237 mL/min/kg肌肉。作为对比,正常走路时整条下肢肌肉的平均耗氧量仅为30 mL/min/kg,这意味着,仅占体重1%的比目鱼肌,在坐着做SPU时的代谢强度,竟然是走路时整条腿肌肉平均水平的近8倍!局部高代谢,却不让全身“大动干戈”,这正是SPU运动的精妙之处。
那么,如此高的局部代谢,能否真正改善全身的血糖调节?
答案是肯定的。在口服75克葡萄糖后的3小时内,与“坐着不动”的对照组相比,进行SPU2(较高强度)的志愿者血糖浓度平均降低了50 mg/dL,降幅高达52%(下图A)。更关键的是,胰岛素的曲线下面积(iAUC)减少了60%(下图D),同时C肽水平也显著下降。这说明,胰腺不再需要像“拼命三郎”般地分泌大量胰岛素来应付高血糖。换言之,SPU让身体对胰岛素的需求大幅降低,这对保护胰岛功能、预防2型糖尿病具有重要意义。

图:通过腓肠肌收缩维持较高的肌肉代谢水平,足以改善葡萄糖耐量并降低餐后高胰岛素血症,其中血糖和胰岛素的iAUC可降低52%–60%
除了血糖,血脂同样受益。在实验一的270分钟SPU过程中,研究者检测到血液中极低密度脂蛋白甘油三酯(VLDL-TG)显著下降,尤其是那些体积较大的、携带更多甘油三酯的VLDL颗粒。这表明,活跃的比目鱼肌能够主动“抓取”血液中的甘油三酯作为燃料,从而帮助改善餐后高脂血症——这是心血管疾病的一个独立危险因子。
最后,研究者还追踪了全身的燃料使用情况。在安静状态下,全身肌肉仅贡献约15%的餐后葡萄糖氧化,比目鱼肌更是微乎其微。然而,当SPU启动后,情况彻底反转。下表的数据显示:在SPU1(较低强度)时,3小时内的全身碳水化合物氧化量从24克增加到50克;而在SPU2(较高强度)时,这一数字进一步攀升到71克,已经超过了喝下去的75克葡萄糖!经过计算,其中约80%的额外碳水化合物氧化来自比目鱼肌。也就是说,这1%体重的肌肉,硬生生把自己变成了餐后燃糖的“主角”,其代谢贡献甚至超过了全身所有其他组织之和。

表:3 小时口服葡萄糖耐量试验期间的代谢率和碳水化合物氧化情况
为什么SPU能这么有效?
研究人员指出,传统运动强调“动用大肌肉群、提高全身代谢率”,但往往伴随着大量糖原消耗和交感神经兴奋,反而可能引起反跳性高血糖(运动结束后血糖反而更高)。而SPU走的是另一条路——只调动1%的肌肉,但让它的局部代谢强度极高、持续时间极长,同时几乎不刺激肾上腺素和皮质醇,所以没有反弹。
既然SPU在健康人中效果这么炸裂,那对已经得了冠心病的人,还有用吗?
这块肌肉还能“救心”
2025年,一项发表在《Medicine》上的研究,正好回答了这个问题。

研究纳入了43名冠脉造影确诊的冠心病患者,分为两组:
运动组(24人) 在原有药物治疗基础上,每天做3次SPU,每次至少8分钟(餐后1小时进行);
对照组(19人) 不增加额外运动。两组在年龄、性别、用药等方面无显著差异。研究者在基线、1个月、3个月时检测血脂和全身免疫炎症指数(SII,反映炎症和血栓风险)。
结果显示,在干预1个月后,运动组的总胆固醇水平从基线的170.7 mg/dL下降至162.2 mg/dL,而对照组反而略有上升,两组差异具有统计学意义(P<0.005)。
更引人注目的是全身免疫炎症指数(SII)的变化:运动组的SII从347.3降至239.5,而对照组却从375.8急剧升高至582.8(P<0.005)。这意味着,仅仅1个月的SPU训练就能显著抑制冠心病患者体内原本持续存在的低度炎症状态,而对照组由于没有额外的肌肉活动,炎症指标反而随着时间推移进一步恶化。
到了第3个月,运动组的优势更加全面:运动组的HDLC(好胆固醇)升至62.3 mg/dL,对照组仅为41.9 mg/dL;运动组的LDLC(坏胆固醇)降至56.6 mg/dL,对照组为87.7 mg/dL,降幅达35%(P<0.005);运动组的总胆固醇同样显著低于对照组(150.1 vs. 176.0 mg/dL,P<0.005);SII的差异也进一步拉大,运动组降至213.4,对照组仍高达536.3,降幅超过60%(P<0.001)。这些数据明确显示,在常规他汀类药物治疗的基础上,叠加每天三次、每次8分钟的SPU,能够额外带来大幅度的血脂改善和炎症抑制!

图:比目鱼肌俯卧撑运动(SPU)对血脂和全身炎症的生理影响
小结
综上,上面两项研究为我们提供了一种低门槛、高依从性且几乎无风险的“代谢运动”——比目鱼肌俯卧撑运动(SPU),只要大家坐着时把脚后跟抬一抬,让比目鱼肌“上班”,就能在几乎不费力的情况下,显著改善血糖、血脂和全身炎症水平。
各位“想动又动不起来”的久坐族、老年朋友、以及需要长期管理血糖血脂的慢病患者们,可以尝试一下哦~
参考文献:
[1] Hamilton MT, Hamilton DG, Zderic TW. A potent physiological method to magnify and sustain soleus oxidative metabolism improves glucose and lipid regulation. iScience. 2022 Aug 5;25(9):104869. doi: 10.1016/j.isci.2022.104869. PMID: 36034224; PMCID: PMC9404652.
[2] Gökaslan S, Yilmaz ÖF, Korucu C, Günlük NB, Balci A. Effects of soleus push-up exercise on systemic immune-inflammatory index and blood lipid profile in coronary artery disease. Medicine (Baltimore). 2025 Aug 1;104(31):e43643. doi: 10.1097/MD.0000000000043643. PMID: 40760610; PMCID: PMC12323936.
撰文|Dd
编辑 | lcc

点击下方「阅读原文」,前往生物谷官网查询更多生物相关资讯~
