NAFLD不影响核苷经治患者加用PegIFNα的治疗疗效
编者按:
世界卫生组织2021年数据显示,全球约有2.96亿慢乙肝(CHB)患者。近年来,随着生活方式和饮食结构的改变,非酒精性脂肪性肝病(NAFLD)也成为全球高发的慢性肝病。一项荟萃分析表明,中国一般人群中慢乙肝合并脂肪肝的总患病率为1.48%,慢乙肝患者中脂肪肝的总患病率高达26.75%。然而,NAFLD对慢乙肝患者抗病毒治疗疗效的影响仍存在争议。
来自徐州医科大学附属医院潘修成教授、李丽教授联合在PeerJ发表成果,探讨了NAFLD对核苷经治CHB患者加用聚乙二醇干扰素α(PEG IFNα)治疗疗效的影响,结果显示:合并NAFLD不影响核苷经治CHB患者加用PEG IFNα的治疗疗效;整体队列有20.9%的患者实现临床治愈。无论基线HBeAg状态如何,NAFLD对CHB患者的HBsAg清除率均无显著影响。基线HBsAg水平较低和HBeAg阴性是HBsAg清除的显著预测因素。
研究方法:
这项回顾性研究纳入年龄≥18岁、核苷治疗≥1年、HBV DNA<20 IU/mL的CHB患者,所有患者均加用PEG IFNα治疗48周,随访至治疗结束后24周。根据基线是否合并NAFLD,将患者分为CHB组和CHB-NAFLD组。主要疗效指标为两组之间HBsAg清除率的差异,次要指标包括HBsAg降幅、HBeAg清除、生化应答及不良反应。
患者特征:
共纳入158例患者,其中CHB组91例,CHB-NAFLD组67例。平均年龄为39.0 ± 8.0岁,85.4%为男性,38.6%为HBeAg阳性。CHB-NAFLD组的ALT、GGT、WBC及PLT水平显著高于CHB组(P < 0.05)。经PSM后,两组的基线特征无显著差异。
表1:倾向性评分匹配前后患者的基线特征
研究结果:
1. 合并NAFLD不影响核苷经治慢乙肝患者加用PEG IFNα的治疗疗效
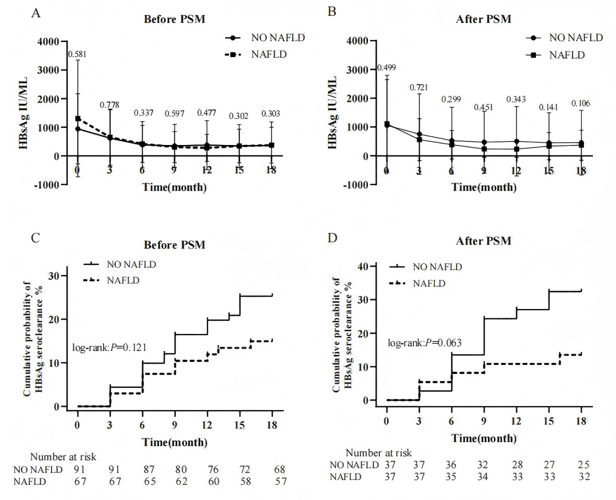
治疗期间,CHB组与CHB-NAFLD组的HBsAg水平均呈下降趋势。PSM前后,两组在不同时间点的HBsAg水平及其降幅均无显著差异(P>0.05)。随访结束时,20.9%的患者实现HBsAg清除。CHB组与CHB-NAFLD组的HBsAg清除率在PSM前分别为25.3%和14.9%(P = 0.121),PSM后分别为32.4%和13.5%(P = 0.063)。PSM前后,两组实现HBsAg清除的中位时间也无显著差异。进一步对HBsAg清除患者的分析显示,CHB组与CHB-NAFLD组的HBsAb阳性率、HBsAg血清学转换率在PSM前后均无显著差异(P>0.05)。
随访结束时,CHB组与CHB-NAFLD组的累积HBeAg血清学转换率无显著差异(P = 0.618)。PSM后,两组的累积HBeAg血清学转换率仍无显著差异(P = 0.954)。

图1:NAFLD对慢乙肝患者PEG IFNα治疗的HBsAg水平和清除率的影响

图2:NAFLD对慢乙肝患者PEG IFNα治疗的HBeAg血清学转换率的影响
2. 基线HBsAg水平较低和HBeAg阴性是HBsAg清除的显著预测因素
单因素回归分析显示,基线HBsAg水平较低(OR = 0.997, 95% CI: 0.996 - 0.998)、HBeAg阴性(OR = 2.560, 95% CI: 1.033 - 6.344)、总胆红素水平较高(OR = 1.065, 95% CI: 1.010 - 1.124)、肌酐水平较高(OR = 1.038, 95% CI: 1.005 - 1.073)与HBsAg清除相关。多因素回归分析证实,基线HBsAg水平较低(OR = 0.997, 95% CI: 0.995 - 0.997)和HBeAg阴性(OR = 1.246, 95% CI: 1.025 - 3.531)是HBsAg清除的独立预测因素。
表2:逻辑回归分析HBsAg清除的预测因素

根据基线HBeAg状态和NAFLD将患者分为4个亚组,非NAFLD+HBeAg阴性组、非NAFLD+HBeAg阳性组、NAFLD+HBeAg阴性组、NAFLD+HBeAg阳性组。4组在PSM前(32.8% vs. 12.1% vs. 17.5% vs. 7.4%, P = 0.060)和PSM后(42.9% vs. 18.8% vs. 18.2% vs. 6.7%, P = 0.058)的累积HBsAg清除率均无显著差异。无论HBeAg状态如何,PSM前后NAFLD组与非NAFLD组的累积HBsAg清除率均无显著差异。

图3:根据基线NAFLD和HBeAg状态分层的累积HBsAg清除率
3. 合并NAFLD的CHB患者在PEG IFNα治疗期间的ALT复常率较低,但远期无差异
治疗期间,两组ALT、GGT水平均较基线显著升高,在治疗第12 - 24周达峰值后逐渐下降。在各随访时间点,CHB-NAFLD组的ALT和GGT水平均显著高于CHB组(P < 0.05)。在治疗第24周和第48周,CHB-NAFLD组的ALT复常率均显著低于CHB组(31.9% vs. 12.3%, P = 0.009; 70.8% vs. 47.4%, P = 0.007)。治疗结束后24周,两组的ALT复常率无显著差异(88.9% vs. 77.2%, P = 0.074)。
表3:CHB组和CHB-NAFLD组PEG IFNα治疗的生化应答

肝霖君有话说:
近年来,多项研究探索了NAFLD对CHB患者抗病毒治疗疗效的影响。部分研究表明合并NAFLD的CHB患者可获得更高的HBsAg清除率,也有研究表明合并NAFLD不影响或降低CHB患者的抗病毒应答。这可能与脂肪肝类型、抗病毒治疗策略,纳入人群的异质性等有关。本研究结果表明,在加用PEG IFNα治疗的NAs经治CHB患者中,NAFLD不影响患者治疗疗效。无论基线HBeAg状态如何,NAFLD组与非NAFLD组的累积HBsAg清除率均无显著差异。治疗结束后随访24周,整体队列中20.9%的患者获得HBsAg清除,实现真正的临床治愈。
基于目前多项研究结果来看,NAFLD对CHB患者肝脏炎症进展和抗病毒治疗疗效的长期影响仍需进一步探索。临床中对于合并NAFLD的CHB患者,在积极开展抗病毒治疗的同时,应建立标准化、动态的脂肪性肝病监测机制,通过定期影像学和代谢指标检测追踪病情变化,及时优化临床干预策略。
参考文献:
Li HL, Li L, Zhao YR, et al. Impact of nonalcoholic fatty liver disease on the functional cure of nucleos(t)ide analogues-treated chronic hepatitis B patients add-on pegylated interferon therapy: a retrospective study[J]. PeerJ, 2025, 13: e19972.
