每天运动1小时,却仍可能“坐”出心梗?研究证实:每日久坐>6小时且零活动,全因死亡率高达23%!但做到这一点,风险骤降58%
发布时间:2026-04-21来源:生物谷
清晨的地铁里,西装革履的上班族紧握扶手刷着手机;午后的写字楼中,键盘敲击声伴着久坐的腰背酸痛;夜晚归家,瘫在沙发追剧成了最奢侈的放松……对全球数亿高血压患者而言,这样的日常正悄然改写生命的倒计时。当降压药成为生活标配,一个更隐蔽的真相逐渐浮现:决定生死的,或许不只是药片,更是你每天与椅子相处的时长。
高血压是心血管疾病的头号推手,即便药物治疗日臻完善,患者死亡率仍居高不下。医学界早已证实:规律运动能有效降压、改善代谢。但近十年研究发现,久坐本身就是一个独立的“健康杀手”——哪怕你每天坚持锻炼,若其余时间几乎不动,风险依然高企。
关键问题来了:对高血压人群,增加活动量能否“抵消”久坐的伤害?还是说,二者会像化学反应般产生叠加效应?中国中医科学院广安门医院团队基于美国国家健康与营养调查(NHANES)2007-2018年数据,对18279名成年高血压患者展开长达6年多的追踪,首次系统解码了“动”与“坐”的生存密码。
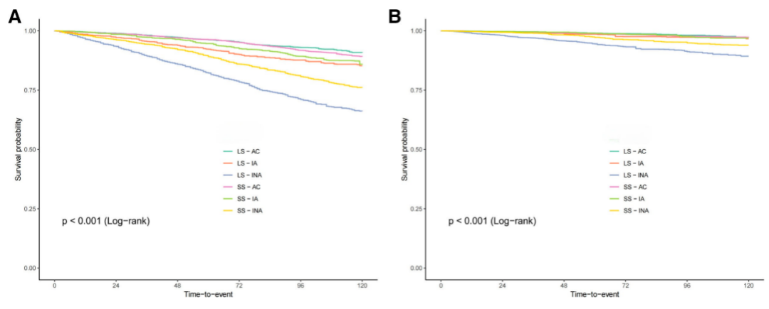
- 身体活动量:以代谢当量(MET)分钟/周衡量,分为“零活动”“轻度活动”(不足600)和“达标活动”(≥600);
- 每日久坐时长:以6小时为界,划分为“短时久坐”(≤6小时)与“长时久坐”(>6小时)。
经6.17年随访,3288例死亡事件(含2620例全因死亡、668例心血管死亡)揭示出清晰规律:
活动量最高者(≥4000 MET-分钟/周)全因死亡风险降低51%;每日久坐少于4小时者,全因死亡风险下降34%,心血管死亡风险更是锐减48%。
- 最优组合:“短时久坐+活动达标”使全因死亡风险骤降58%(HR=0.42);
- 意外发现:即使活动量未完全达标,只要久坐≤6小时,心血管死亡风险仍可降低64%(HR=0.36)——这提示“少坐”本身具有独立保护价值;
- 最危险组合:“长时久坐+零活动”人群全因死亡率高达23%,生存曲线显著下坠,成为名副其实的“高危雷区”。
亚组分析带来重要启示:60岁以上老年高血压患者从“少坐+多动”策略中获益尤为突出,而男女之间的保护效应无显著差别。这意味着,对步入晚年的高血压人群,打破久坐习惯可能比年轻时更具“性价比”。
研究结论直指临床实践核心:减少久坐与增加活动,应被置于同等战略地位。具体可操作建议包括:
1. 设“久坐闹钟”:每坐45-60分钟起身活动3-5分钟,接水、拉伸、踱步皆可; 2. 碎片化累积活动:不必强求单次运动时长,每日三次10分钟快走,同样可达标; 3. 重构生活场景:看电视时做踝泵运动,通勤提前一站下车步行,用站立办公替代部分坐姿。
这项发表于国际期刊《Medicine》的研究传递出关键信息:身体活动与久坐行为并非简单的“抵消关系”,而是两条平行的健康防线。活动不足时,减少久坐仍能筑起保护屏障;久坐难避免时,增加活动亦可部分缓冲风险。但唯有双管齐下,才能触发最强生存红利。
对高血压患者而言,健康管理的下半场,或许正从“按时吃药”迈向“主动设计每一天的动静节奏”。当你下次准备陷进沙发时,不妨自问:这多坐的半小时,是否值得用未来的生命长度来交换?答案,就在你起身的那一刻。动静相宜,平稳控压。打开 DeepEvidence 小程序,学习高血压患者日常活动建议。Zhang W, Du Y, Chen Z, Wang M, Zhao T, Hu Y. Combined associations of physical activity and sedentary behavior with all-cause and cardiovascular mortality in hypertensive adults: A cohort study using NHANES data (2007-2018). Medicine (Baltimore). 2026 Jan 23;105(4):e47167. 部分文字来源于网络,本文仅用于分享,转载请注明出处。若有侵权,请联系微信:bioonSir 删除或修改!1、禁欲,精子质量究竟是提高or降低?5.5万男性+30物种研究:储存越久,雄性伤害越大,雌性却更“扛老”;练瑜伽或能改善精子DNA碎片化
2、饿16小时竟能抗癌?浙大最新:短期禁食让肿瘤细胞“拱手相让”营养,激活T细胞抗癌,提升免疫治疗效果;科学16+8得这么做…
3、情绪的力量有多大?两项研究:积极社交能激活大脑环路,抑制癌细胞生长;而消极情绪会加速认知衰退,增加心血管疾病发病风险
4、防晒霜算护肤品吗?需要每天涂吗?多项研究:防晒霜可有效预防紫外线诱导的皮肤变化,但每日涂抹高SPF防晒霜确会导致血清25(OH)D浓度降低
5、婚姻,究竟是续命 or 折寿?两项百万人研究揭示真相:已婚者全因死亡率、癌症风险均显著低于单身人士、离婚以及丧偶者
点击下方「阅读原文」,前往生物谷官网查询更多生物相关资讯~
转载说明:本文系转载内容,版权归原作者及原出处所有。转载目的在于传递更多行业信息,文章观点仅代表原作者本人,与本平台立场无关。若涉及作品版权问题,请原作者或相关权利人及时与本平台联系,我们将在第一时间核实后移除相关内容。