不爱学习和读书?要不还是坚持下吧!科学研究实锤:脑子跟钱一样,越存越有!有这3种习惯的人,痴呆晚来5年


“35岁后,脑子就开始不好使了”、“40岁步入中年,大脑也跟着老化了”、“年纪大了,明显感觉学新东西慢了、思想也难以集中”......
这些话,你是不是也对自己说过?随着年龄增长,你开始觉得记不住事了、脑子动不动就卡壳?可奇怪的是,身边有些人,年纪明明跟你差不多,甚至比你大,却好像完全没有这种困扰。
这差距,到底从哪来的?
科学研究告诉你:这跟基因没多大关系,而是和你这辈子读过的那些书、玩过的那些益智游戏,甚至年轻时学过的那门外语,有着千丝万缕的联系。它们带来的好处,不是当时就兑现的,而是悄悄存进了你的大脑账户里,几十年后慢慢还你利息。
这就是著名的“认知储备假说”——大脑就像一家公司,病变是机器老化,而认知储备是管理水平。管理水平高的公司,机器再破也能撑更久。
不信?那咱们就来看看下面这三项研究,带你感受一下什么叫“认知储备让大脑实现延迟退休”!
近日,美国芝加哥拉什大学医学中心相关研究人员在Neurology期刊发表了研究成果,通过对近2000名老人的长期追踪,结合死后大脑病理检查,回答了三个核心问题:
一辈子“脑子养得好”,能降低多少痴呆风险?
能把痴呆推迟几年?
这种保护作用,是因为大脑病变少了,还是因为大脑更“抗造”?
研究最终得出结论是:终身保持高水平的认知活动,能够将患阿尔茨海默病的风险降低38%,并将发病时间平均推迟5年以上。更重要的是,这种保护作用在很大程度上是独立于大脑内实际病理损伤的。这意味着,即使大脑“硬件”(如淀粉样斑块)已经开始出现病变,但你存下的那些“知识存款”和“思维习惯”也能更长久地维持大脑高效运行。

研究人员经过一系列筛选,最终纳入了1939名在入组时没有痴呆的参与者,平均年龄约80岁,75%为女性,平均教育年限为15年(相当于大学水平),平均追踪年限为7.6年。研究人员从早年、中年、晚年三个生命阶段,综合评估参与者的“终身认知丰富度”,总分越高,代表一生所处的认知环境越优渥,主动进行脑力活动的程度越高。各阶段评估指标如下:
1. 早年丰富度:包括童年社会经济地位、12岁时家中认知资源(如报纸、百科全书)、6岁和12岁时认知刺激活动频率(如读书、去图书馆)、18岁前外语教育年限。
2. 中年丰富度:40岁时收入、家中认知资源及参与认知活动的频率。
3. 晚年丰富度:指入组时收入以及阅读、写作、玩游戏等认知活动频率。
此外,参与者每年接受包含21项测试的神经心理评估,涵盖情景记忆、语义记忆、工作记忆、知觉速度和视空间能力五大领域,以计算认知下降速度。948名去世者接受了大脑病理检查(研究痴呆的“黄金标准”),量化9种与痴呆相关的常见病理,其中最核心的是阿尔茨海默病的全局病理评分,以及其他如脑梗塞、路易体等病理。
保持终身学习,痴呆风险降低38%,发病推迟5年以上
分析发现,在追踪期间,共有551人患了阿尔茨海默病。其中,终身认知丰富度每增加1个单位,患阿尔茨海默病的风险就显著降低38%。分时期看,早期、中期、晚期滋养分别使风险降低20%、21%和29%。
这么说是不是感觉没什么?直观一点:与终身认知丰富度处于最低10%的人相比,处于最高10%的人,阿尔茨海默病的平均发病年龄从88.4岁推迟到了93.8岁,整整晚了5.4年。而对于轻度认知障碍(痴呆的前驱阶段),这个推迟时间更是长达7年!分时期来看,早期、中期、晚期的认知滋养分别使痴呆推迟2.9年、3.5年和5.5年。
换句话说,这好比为我们的大脑进行“抗衰老”投资,现在多读书、多积累,可能让你80多岁时的脑子像别人70多岁时一样清醒;且任何时候开始学习都不晚,要知道晚年滋养的效果最大,推迟痴呆的效果达到了5.5年!

图1:低、中、高终生认知丰富与不患阿尔兹海默症之间的相关性
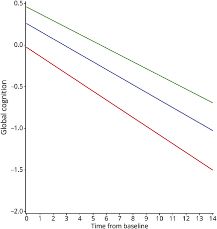
进一步分析发现,终身认知丰富度越高,在研究开始时的整体认知功能水平就越高。更重要的是,认知丰富度越高,随后的认知下降速度越慢。具体表现为:与认知丰富度处于平均水平(第50百分位)的人相比,认知丰富度低(第10百分位)的人认知下降速度快了14%,而丰富度高(第90百分位)的人则慢了10%。这种保护作用在记忆、思维速度等所有认知领域都被观察到。

图2:终身认知丰富与晚年认知下降的关联
那问题来了:这种保护作用,到底是因为读书学习让脑子动得多,推迟了它“生锈退休”的时间,还是说哪怕脑子已经出了点毛病,它也能硬撑着扛一扛?
终身动脑让大脑“年轻”6岁的秘密
研究人员在对948名已故者的大脑进行分析后,发现终身认知丰富度与大脑中各种痴呆相关病理的严重程度没有显著关联。并且,即使在统计模型中加入并控制了所有9种大脑病理指标后,更高的终身认知丰富度,依然与去世前更高的认知功能水平,以及更慢的认知下降速度显著相关。在排除了病理影响后,与丰富度中等的人相比,丰富度最高的人认知衰退速度要慢16%,而丰富度最低的人则要快20%。这种保护效应相当于让大脑“年轻”了约6岁。
这说明,终身动脑主要不是通过减少大脑“硬件”损伤(如清除斑块)来起保护作用的。

图3:终生认知丰富与晚年认知衰退的关联
爱动脑的人,认知衰退慢32.3%
无独有偶,同样是发表在Neurology上的另一项研究,也证实了这个结论。
研究人员科学家们追踪了294位老人,平均随访时间为5.8年,在参与者去世后还分析他们的大脑病理变化情况,结果发现:终生参与认知活动与晚年认知衰退减缓显著相关,且这与大脑是否发生病变没有任何关联。其中,早年还是晚年的认知活动,都与更慢的认知衰退显著相关。

具体而言:与“平均认知活动水平”的人相比,认知活动少的人(最低10%),认知衰退速度加快48.4%,而认知活动多的人(最高90%),认知衰退速度减慢32.3%。进一步分析显示,儿童期和中年期的认知活动对延缓衰退作用显著,而青年期活动则无显著影响。
此外,研究还探讨了早年和晚年认知活动与不同认知领域的关系,发现:早年认知活动主要与工作记忆的衰退速度相关,晚年认知活动与几乎所有认知能力的衰退速度相关(记忆、语义、工作记忆、视觉空间能力),只有知觉速度除外。
换句话说,经常读书、写字、去图书馆等习惯,如果在儿童和中年时期就保持活跃,到老年时认知能力就会下降得更慢,即使大脑中存在一定的病变(如斑块、缠结或梗死),这种保护作用依然存在。

图4:早期和晚年认知活动与认知衰退的关系
那如果小时候真的不爱读书,是不是已经“输在起跑线”了?
答:也不完全是。但童年确实十分关键。
小时候脑子养得好,老了大脑“年轻8岁”,认知衰退速度减缓25%
2020年,美国拉什大学医学中心相关研究人员在JAMA Neurology上发表了研究,共追踪了813位老人,平均年龄90.1岁,最长追踪超过10年,并在他们去世后进行了大脑病理检查,研究者发现:童年时期认知环境更丰富的人,老了之后大脑中的阿尔茨海默病病理改变更少。
具体来说,早期认知丰富度每提高1分,阿尔茨海默病整体病理评分下降0.057,相当于大脑看起来比实际年龄“年轻了8岁”。此外,早期认知丰富性越高,晚年认知衰退速度越慢——每提高1分,认知衰退速度减缓25%。更有意思的是,这种保护作用中,约20%是通过减少大脑中的病理改变实现的,剩下的80%则是直接的“认知储备”效应。
这也就是说,小时候多读书、多接触知识,真的能让你老了之后“脑子更扛得住”,即使大脑里出现了一些病变,你也能比别人更慢地出现认知下降。

小结
回到开头那个问题:为什么有些人年纪相仿,大脑状态却天差地别,这差距从哪来的?
这三项研究给出了一个清晰而有力的答案——差距不在基因,而在“认知储蓄”的多少,并且这与大脑有无发生病变没有任何相关性!
基于这些发现,我们可以总结出三个对大脑最有益的习惯:
1. 童年多读书:12岁时家里有百科全书、报纸,6-12岁经常去图书馆、保持阅读习惯等等,这些看似小事,却极大助力了年老后大脑的“年轻态”。
2. 中年别停:40岁左右正是最忙的时候,但千万别把脑子“闲置”。读书、学新技能、玩策略游戏,都能为晚年储备认知资本。
3. 晚年更要动:晚年的认知滋养效果最大,能把痴呆推迟5.5年。60岁开始读书、写字、玩数独,一点都不晚。
所以说,脑子真的越用越灵光。不是鸡汤,是科学!
参考文献:
[1]Zammit AR, Yu L, Poole VN, Kapasi A, Wilson RS, Bennett DA. Associations of Lifetime Cognitive Enrichment With Incident Alzheimer Disease Dementia, Cognitive Aging, and Cognitive Resilience. Neurology. 2026 Mar 10;106(5):e214677. doi: 10.1212/WNL.0000000000214677. Epub 2026 Feb 11. PMID: 41671519.
[2]Wilson RS, Boyle PA, Yu L, Barnes LL, Schneider JA, Bennett DA. Life-span cognitive activity, neuropathologic burden, and cognitive aging. Neurology. 2013 Jul 23;81(4):314-21. doi: 10.1212/WNL.0b013e31829c5e8
[3]Oveisgharan S, Wilson RS, Yu L, Schneider JA, Bennett DA. Association of Early-Life Cognitive Enrichment With Alzheimer Disease Pathological Changes and Cognitive Decline. JAMA Neurol. 2020 Oct 1;77(10):1217-1224. doi: 10.1001/jamaneurol.2020.194 . PMID: 32597941; PMCID: PMC7325069.
撰文|M
编辑 | lcc

点击下方「阅读原文」,前往生物谷官网查询更多生物相关资讯~
