行业观察

金属3D打印轮胎模具已生产10万个零件,易加三维联合韩泰轮胎

南极熊导读:轮胎部件生产是3D打印技术的一大潜在应用市场,包括米其林在内的多家公司多年来一直使用3D打印技术制造轮胎模具和其他轮胎生产部件。由于涉足轮胎制造领域的公司不多,这并非什么大新闻,但相关应用案例已取得了显著的成功,几十年来一直在推动材料和设备的变革。2026年4月15日,南极熊获悉,金属3D打印厂商易加三维(Eplus3D)与韩国轮胎巨头韩泰精密制造株式会社(Hankook Precis

发布时间:2026-04-17来源:南极熊3D打印
3D打印高强耐热铝合金,香港城大宏桥轻金属研究院吕坚院士等Nature Communications

2026年4月17日,南极熊注意到,由香港城市大学宏桥轻金属研究院吕坚院士领衔,联合北京科技大学毛新平院士、南方科技大学朱强讲席教授及江西宝航新材料公司等顶尖团队,在先进铝合金的设计与制造上取得了重大突破。该研究团队采用激光粉末床熔融(PBF-LB)3D打印技术,成功制备出低成本、低密度的Al-7.44Si-2.34Fe-1.79Mn-1.12Ni合金材料,这一成果标志着高温铝合金增材制造迈上了新

发布时间:2026-04-17来源:南极熊3D打印
大族激光营收187亿!产品交期排到2年后?

4月16日晚间,国内激光行业“一哥”大族激光披露2025年年度报告。据财报显示,大族激光2025年实现营收187.59亿元,同比增长27%;归母净利润为11.90亿元,同比下降29.77%;扣非净利润8.10亿元,同比增长82.28%;经营活动产生的现金流量净额14.69亿元,同比增长30.48%;毛利率达33.28%。分季度看,2025年第四季度,大族激光实现营收60.46亿元,同比增长30.2

发布时间:2026-04-17来源:维科网激光
【新品发布】PRBTEK 普科科技 PKIV6035 光隔离探头!

一、产品简介PRBTEK 普科科技全新推出 PKIV6035 光隔离探头,采用先进光纤传输与光电隔离技术,实现测试系统与被测高压回路的完全电气隔离,可在高共模电压、强电磁干扰环境下,稳定捕捉高速差分信号。完美适配第三代半导体、新能源、开关电源等高压高速电路测试需求。二、产品特色1、全隔离更安全・超强抗干扰光电隔离 + 光纤传输,共模 85kVpk、最高支持 ±6250Vpk无损测量,杜绝高压风险;

发布时间:2026-04-17来源:仪商网
1.45亿并购+40亿落子云南!当升科技磷酸铁锂业务成功转型

倒计时 26 天 CIBF2026深圳交流会 电动航空下一代电池技术及先进制造(CIBF2026深圳)交流会聚势启航 · 共赢电动航空新时代2026年5月13-14日 深圳国际会展中心主办单位:中国化学与物理电源行业协会支持单位:壹能(北京)网络科技有限公司_电池中国网_中国汽车技术研究中心有限公司_同济大学能源与汽车学院_哈尔滨工业大学电化学工程系编辑丨麦 子美编丨CBEA独耀2026年4月16

发布时间:2026-04-17来源:电池中国
进入中国25年,它凭什么成为高端制造背后最“低调”的核心力量?

☞ 这是金属加工(mw1950pub)发布的第21785篇文章编者按1976年,海德汉推出了首台TNC数控系统——机床第一次拥有了真正的“大脑”。此后的50年里,TNC从单轴走向五轴,从代码走向图形化交互,从铣削扩展到车削、磨削、测头集成……每一步都踩在机床行业的技术拐点上。有人说,TNC的发展史,就是一部浓缩的智能制造进化论。2026年,TNC迎来50周岁,也是海德汉服务中国市场的第25年。从光

发布时间:2026-04-17来源:金属加工
【媒体报道】央视 | 向绿向新 新型电力系统建设跑出加速度

四川“十五五”规划提出,全省新能源装机容量将从3200万千瓦提升至8200万千瓦以上,不仅仅是保障生产生活用电需求,更是为新能源产业发展按下了加速键。在成都的这家光伏创新研发中心,一条条集成最新光伏电池技术的试验产线正在忙碌运转,研发人员瞄准的正是未来光伏技术的发展方向。通威股份光伏首席技术官 邢国强:“十五五”规划对新能源提出了明确的发展目标,这是一个巨大的增长空间。所以我们还要继续加大研发力度

发布时间:2026-04-17来源:中国电力企业联合会
营收逼近188亿!大族激光2025财报拆解:业绩创新高的背后,激光装备龙头的AI“狂飙”之路

AI算力狂潮席卷之下,谁才是激光产业链上的王者?4月16日晚,激光巨头大族激光交出2025年“成绩单”:全年实现营业收入187.59亿元,同比大幅增长27.00%,这一营收规模成功刷新纪录。尽管归属于上市公司股东的净利润为11.90亿元,同比下降29.77%,不过,扣除非经常性损益的净利润却逆势上扬,增长82.28%,达到8.10亿元,昭示公司主营业务盈利能力的实质性修复。在AI算力基建与新能源出

发布时间:2026-04-17来源:激光制造网LaserfairCom
万元级桌面级CNC火了,专访造物时代

南极熊导读:桌面级CNC作为“创客三件套”(3D打印机、激光雕刻机、桌面CNC)之一,也开始火了。2026亚洲TCT展会上,南极熊专访了造物时代,最新推出的桌面级数控设备Z1凭借创新设计和亲民价格成为展会焦点。这款重量仅17公斤的紧凑型设备采用模块化铝制框架结构,集成快速换刀装置和自动校准系统,通过单拉式设计实现刀具秒级更换,相较传统机床大幅提升操作便捷性。△视频:南极熊专访造物时代设备配备智能监

发布时间:2026-04-17来源:南极熊3D打印
金属3D打印铜合金CuCrNb-42室温塑性达35.5%,亚洲新材SLM+HIP工艺协同突破

2026年4月16日,南极熊获悉,亚洲新材通过粉末工艺优化、SLM金属3D打印参数验证及HIP(热等静压)后处理制度的系统性探索,成功将CuCrNb-42铜合金的室温延伸率稳定提升至35.5%,同时材料强度高于NASA供应链体系中的同类产品。这一突破为下一代航天发动机燃烧室内衬、高超声速飞行器热防护结构等高温高导应用场景提供了更为可靠的材料保障。数据对比:国产CuCrNb-42性能领先国际主流水平

发布时间:2026-04-17来源:南极熊3D打印
演讲前瞻 | 恩力动力龚静波:固态电池赋能低空经济的实践与展望 | CIBF2026深圳交流会

CIBF2026深圳交流会演讲前瞻2026年5月13-14日,由中国化学与物理电源行业协会主办、壹能(北京)网络科技有限公司、电池中国网、中国汽车技术研究中心有限公司、同济大学能源与汽车学院、哈尔滨工业大学电化学工程系提供支持的“电动航空下一代电池技术及先进制造(CIBF2026深圳)交流会”,将在深圳召开。会议以“聚势启航·共赢电动航空新时代”为主题,将汇聚全球行业精英,聚焦电动航空下一代电池技

发布时间:2026-04-17来源:电池中国
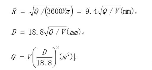
仪表百科 | 管道压力、流速、流量计算,标况和工况流量如何转换?

?星标我们,不错过每一次精彩推送?在实际工业管道工程设计中,我们经常会根据客户所给的相关技术参数来设计符合实际生产要求的合理的工程方案,所以,如何确定管道内流速V、压力P、流量Q三者之间的关系变得尤为重要。仪表百科 | 从内到外的全面解读管道应力仪表百科 | 管道直径、流量、流速、压力之间的关系仪表选型 | 涡街流量计选型的七大要素分析现简单从理论上介绍一下三者之间的关系,举个例子:例: 不锈钢无

发布时间:2026-04-17来源:工业仪表
2026年数控系统六大终极趋势与选型建议

第十四届中国数控机床展览会(CCMT2026)将于2026年4月21—25日在上海新国际博览中心举办。在万千展品之中,数控系统无疑是最核心、最受关注的板块——它被誉为工业母机的大脑,决定着机床的精度、速度、功能上限与智能化水平。本届展会上,以华中数控、广州数控、科德数控、维宏、凯恩帝为代表的国产系统,将与发那科、西门子、海德汉、倍福等国际巨头同台竞技,新品密集、技术迭代加速、智能化全面落地,一个清

发布时间:2026-04-16来源:机工机床世界
2026中国仪器仪表学会学术年会会议通知(第一轮)

2026中国仪器仪表学会学术年会将于2026年8月11日-14日在合肥市举办。大会旨在推动仪器仪表与测量控制领域科技进步,加快人才队伍成长,为会员和广大科技工作者搭建交流平台,促进科研机构、高校、企业联合攻关,提升产业水平和应用规模。我们诚挚邀请各界人士出席此次会议,与领域内同仁交流测量与仪器仪表技术的最新成果。一组织架构主办单位:中国仪器仪表学会国务院学位委员会仪器科学与技术学科评议组教育部高等

发布时间:2026-04-16来源:中国仪器仪表学会
营收7亿,3D打印材料业务持续高速增长,光华伟业2025年报出炉

南极熊注意到,2026年3月31日,3D打印耗材上市公司光华伟业发布了其2025年年度报告。年报显示,2025年,光华伟业实现营业收入 7.12亿元,同比大幅增长 31.05%。这一增长的核心驱动力,毫无悬念地来自于其核心主业——3D打印产品。△主要财务数据 报告期内,3D打印业务板块实现收入 6.40亿元,同比增长高达 40.25%,占公司全年总营收的比重从去年的约84%进一步提升至 89.84

发布时间:2026-04-16来源:南极熊3D打印