行业观察

万华化学亮相第二十一届上海国际汽车灯具展,耐醇性能实现全新突破

万华化学亮相第二十一届上海国际汽车灯具展耐醇性能实现全新突破2026年3月25日,第二十一届汽车灯具产业发展技术论坛暨上海国际汽车灯具展览会(ALE)在昆山花桥国际博览中心盛大开幕。万华化学携其在车灯领域的创新PMMA材料解决方案亮相,凭借卓越的光学性能与定制化开发能力,重新定义车灯光学材料新标杆。展会期间,万华化学与中国车灯行业领军企业星宇车灯携手亮相,正式发布双方联合研发的耐醇开裂尾灯专用PM

发布时间:2026-03-25来源:万华微视界
倒计时两天 | “拾光而行 奔赴山海” 2026届西北工业大学研究生毕业晚会派票啦!

拾光而行奔赴山海“拾光而行,奔赴山海” 2026届西北工业大学研究生毕业晚会正式进入2天倒计时!鲜衣踏碎玉兰霜,墨染青云字带香。十万星辰斟作酒,明朝共举少年觞。 派票信息为赴这场青春之约,我们准备了专属入场券,本次晚会派票安排如下:时间:3月26日(本周四)17:00~19:00地点:东二门、公字楼门前领票须知:请同学们持本人校园卡或“西北工业大学”app-电子一卡通有序领取。门票数量有限,一人一

发布时间:2026-03-25来源:材料微生活
上海交大窦红静团队发表Angew. Chem. Int. Ed:让人工细胞像活细胞一样自发进行“细胞”内和“细胞”间组装

天然细胞犹如一座高度精密运转的微型工厂,其部的各种细胞器和分子并非杂乱无章,而是呈现出高度有序的多层级组装特性。诸多生命活动依赖于组分在特定时空的富集与重排。其中,无膜细胞器(凝聚体)与细胞膜的动态相互作用,对于细胞内和细胞间的物质分配与功能调控具有重要意义。如何在体外人工细胞模型中构建可响应、可重构的内部组织结构,以模拟并研究天然细胞的复杂行为,仍是人工细胞研究领域的重要挑战。近日,上海交通大学

发布时间:2026-03-25来源:上海交通大学材料学院
科研进展丨二维/三维异质结光电探测器:多维调控策略与智能传感应用

随着信息时代的快速发展,器件集成度与智能传感的需求日益提升。二维材料凭借其原子级厚度、量子限域效应及范德华层间耦合等独特的光电特性,成为极具潜力的光电平台。尤为重要的是,其表面无悬挂键的特性,使其能够与传统半导体、金属、电介质等各类材料实现无需晶格匹配的异质集成,为构建紧凑、新颖的智能传感技术开辟了新路径。然而,二维材料极短的光与物质相互作用长度限制了其在强光-物质相互作用场景下的应用。相比之下,

发布时间:2026-03-25来源:松山湖材料实验室
党建引领聚合力 校企协同启新程——西北工业大学材料学院与中核建中深化全方位合作

为落实创新驱动发展战略,以党建引领校企协同高质量发展,3月20日,材料学院与中核建中核燃料元件有限公司(以下简称“中核建中”)在宜宾相继开展联合实验室签约揭牌与党建共建活动,构建“党建引领、产学研融合”的全方位合作新格局。材料学院副书记禹亮、学校产学研办主任李源、辐射探测材料与器件工信部重点实验室主任徐亚东等一行 8 人出席签约仪式;中核建中科技与信息化部主任陈凯、一分厂厂长钟国志、安全环保部、环

发布时间:2026-03-25来源:材料微生活
CMC2026-分会介绍丨C18-先进粉末冶金材料与技术

大会简介会议时间:2026年7月7-10日会议地点:湖北省武汉国际博览中心主办单位:中国材料研究学会“中国材料大会”是中国材料研究学会的学术年会,是国家级品牌大会,是中国新材料界学术水平最高、涉及领域最广、前沿动态最新的创新发展大会,是瞄准国家重大需求,汇聚高端智力资源,聚焦行业共性“堵点”,奋力推进跨领域、跨行业协同创新,打造面向全球的中国新材料学术与产业高地,全方位服务十五五战略实施,推动我国

发布时间:2026-03-25来源:中国材料研究学会
清风扬正气 廉洁润初心 | 材料学院与玛丽女王工程学院联合赴照金开展主题党日活动

为进一步加强党性修养,传承红色基因,3月21日,材料学院焊接师生融合党支部、玛丽女王工程学院师生融合第一党支部与第三党支部共赴陕甘边革命根据地照金,联合开展“清风扬正气 廉洁润初心”主题党日活动,重温峥嵘岁月,接受革命精神洗礼。材料学院焊接师生融合党支部书记杨夏炜、玛丽女王工程学院师生融合第一党支部书记黄拳章、第三党支部书记葛曲及师生党员共20余人参加了本次活动。全体党员抵达陕甘边革命根据地照金纪

发布时间:2026-03-25来源:材料微生活
中微公司领投,押注键合设备!

近日,青禾晶元完成约5亿元战略融资。本轮融资由中微半导体设备(上海)股份有限公司及孚腾资本联合领投,北汽产投跟投;老股东英诺基金持续追加投资。本轮融资充分印证了市场对高端键合装备领域长期价值的高度认可,亦是对青禾晶元技术先进性、市场认可度与成长确定性的有力肯定。本轮资金将聚焦投入核心技术研发、高端产品矩阵持续迭代、组建世界级研发交付团队、扩建生产基地以响应行业爆发需求,支撑公司跨越式发展及全球化布

发布时间:2026-03-24来源:半导体盒
不到1年拿下3笔融资,合成生物企业「食气生化」正在用工业尾气转化蛋白质和正丁醇

近日,江北科投集团宣布完成对南京食气生化科技有限公司(以下简称“食气生化”)Pre-A+轮融资,融资金额未披露。除了江北科投集团,根据天眼查信息,其他投资方还包括淮泽中钊天使基金,前海方舟大健康基金,中小担创投,前海母基金。这距离食气生化完成上一轮Pre-A轮融资过不不超过半年(2024年8月),距离天使轮融资不超1年。食气生化成立于2023年1月,拥有领先的食气梭菌改造技术积累与丰富的产品及放大

发布时间:2026-03-25来源:有材
展会第二天,精彩继续!2026第十八届中国国际先进陶瓷展及同期粉末冶金、磁性材料展展商名录及同期论坛(附PDF版下载)

展会第二天!!!第十八届中国国际先进陶瓷展览会(IACE CHINA 2026)于昨天在国家会展中心(上海)1.1馆、2.1馆盛大开幕。展会同期将联动磁性材料展、增材制造展、先进陶瓷展、粉体加工展,打造全产业链资源整合平台,解锁万亿级市场新机遇,覆盖新材料研发、生产、加工、检测、应用全产业链条,打造前所未有的资源互通、客群共享生态。本次展会将汇聚巴斯夫、山田制作所、圣戈班、力森诺科、液化空气、空气

发布时间:2026-03-24来源:新材料在线
倒计时三天 | “拾光而行 奔赴山海” 2026届西北工业大学研究生毕业晚会期待你的到来!(后附彩蛋)

拾光而行奔赴山海春风如约,芳华正好“拾光而行,奔赴山海” 2026 届西北工业大学研究生毕业晚会正式进入3天倒计时!从初见金秋到奔赴山海,一段研途故事即将在春日里圆满收官。让我们以歌声作别,以舞姿留念,这场专属毕业盛宴,只为你而来!双重彩蛋惊喜拉满,速速参与!彩蛋1:现场抽奖特等奖:折叠自行车*1一等奖:徕芬吹风机*2二等奖:SKG筋膜枪*4三等奖:毕业小熊*6彩蛋2:转发有礼转发本文至朋友圈,在

发布时间:2026-03-24来源:材料微生活
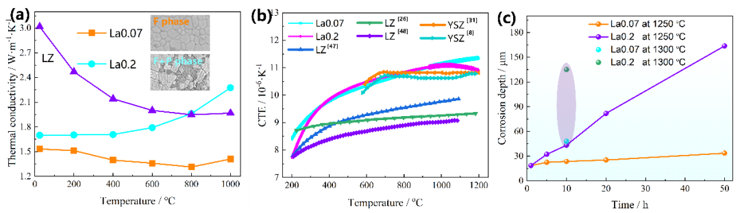
科研进展丨航空发动机热障涂层材料研究获得重大进展

航空发动机是衡量国家工业实力的重要标志,其性能提升始终是国际高端制造领域的竞争焦点。随着其推重比持续提升,涡轮前进口温度已突破1600 ℃,远超高温合金耐热极限。热障涂层作为热端部件核心防护技术,能够有效降低基体温度,抵御高温氧化与热腐蚀,是保障发动机长寿命、高可靠运行的关键。然而,现役氧化钇部分稳定氧化锆(YSZ)陶瓷面层在超高温环境下面临烧结加速、相变失稳等难题,更易受到熔融硅酸盐沉积物(CM

发布时间:2026-03-24来源:松山湖材料实验室
饮水思源凝聚材料力量,薪火相传助力学院发展——清华大学材料学院捐赠项目

亲爱的院(系)友们:清华大学材料科学与工程系始建于1988年,由化学工程系的无机非金属材料专业、工程物理系的材料物理专业、原机械工程系的金属材料专业组成。 2012年12月材料科学与工程系与原机械工程系材料加工学科共同成立材料学院。近几年,材料学科的国际排名和影响力屡创新高,一大批院(系)友各行各业勇担使命、建功立业,成长为“大国之材、兴业之材”。薪火相传,弦歌不辍。材料学院的发展离不开师生的同心

发布时间:2026-03-24来源:清华大学材料学院
CMC2026-分会介绍丨C06-金属基复合材料

大会简介会议时间:2026年7月7-10日会议地点:湖北省武汉国际博览中心主办单位:中国材料研究学会“中国材料大会”是中国材料研究学会的学术年会,是国家级品牌大会,是中国新材料界学术水平最高、涉及领域最广、前沿动态最新的创新发展大会,是瞄准国家重大需求,汇聚高端智力资源,聚焦行业共性“堵点”,奋力推进跨领域、跨行业协同创新,打造面向全球的中国新材料学术与产业高地,全方位服务十五五战略实施,推动我国

发布时间:2026-03-24来源:中国材料研究学会
Advanced Science:上海交大顾剑锋团队在高传热低流阻热学超材料领域取得新进展

近日,上海交通大学顾剑锋教授团队联合国内外学者,在复杂传热超材料领域取得重要进展。相关成果以 “Sub-Unit-Cell Logic Governs Transport in TPMS Architectures” 为题,发表于国际期刊 Advanced Science(DOI: 10.1002/advs.202523188),并入选期刊内封面(Inside Cover)。该研究以钟豪章博士为第

发布时间:2026-03-24来源:上海交通大学材料学院